先序遍歷
先序遍歷也叫做先根遍歷、前序遍歷,可記做根左右(二叉樹父結點向下先左後右)。
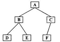
首先訪問根結點然後遍歷左子樹,最後遍歷右子樹。在遍歷左、右子樹時,仍然先訪問根結點,然後遍歷左子樹,最後遍歷右子樹,如果二叉樹為空則返回。
例如,下圖所示二叉樹的遍歷結果是:ABDECF
圖例
先序遍歷(Pre-order),按照根左右的順序沿一定路徑經過路徑上所有的結點。在二叉樹中,先根後左再右。巧記:根左右。
先序遍歷也叫做先根遍歷、前序遍歷,可記做根左右(二叉樹父結點向下先左後右)。
首先訪問根結點然後遍歷左子樹,最後遍歷右子樹。在遍歷左、右子樹時,仍然先訪問根結點,然後遍歷左子樹,最後遍歷右子樹,如果二叉樹為空則返回。
例如,下圖所示二叉樹的遍歷結果是:ABDECF
圖例(3)遍歷該結點的右子樹(R)。 (3)遍歷該結點的右子樹(R)。 (2)遍歷該結點的右子樹(R)。
擴展先序遍歷 內容簡介 算法實現擴展先序遍歷序列是大學計算機基礎課程《數據結構與算法 C語言描述》中的內容,在其中的樹這一節中,詳細地介紹了二叉樹的先序遍歷二叉樹、中序遍歷二叉樹、後序...
內容簡介 算法實現所謂遍歷(Traversal),是指沿著某條搜尋路線,依次對樹中每個結點均做一次且僅做一次訪問。訪問結點所做的操作依賴於具體的套用問題。 遍歷是二叉樹上...
古漢語詞語 樹的遍歷 二叉樹 圖後序遍歷是二叉樹遍歷的一種。後序遍歷指在訪問根結點、遍歷左子樹與遍歷右子樹三者中,首先遍歷左子樹,然後遍歷右子樹,最後遍歷訪問根結點,在遍歷左、右子樹時...
所謂遍歷(Traversal)是指沿著某條搜尋路線,依次對樹中每個結點均做一次且僅做一次訪問。訪問結點所做的操作依賴於具體的套用問 題。 遍歷是二叉樹上...
算法實現 遞歸實現前序遍歷(DLR),是二叉樹遍歷的一種,也叫做先根遍歷、先序遍歷、前序週遊,可記做根左右。前序遍歷首先訪問根結點然後遍歷左子樹,最後遍歷右子樹。
簡介 數學表達式形式 複雜性 程式實現樹的遍歷是樹的一種重要的運算。所謂遍歷是指對樹中所有結點的信息的訪問,即依次對樹中每個結點訪問一次且僅訪問一次。二叉樹的3種最重要的遍歷方式分別稱為前序...
定義 方法後序遍歷(LRD)是二叉樹遍歷的一種,也叫做後根遍歷、後序週遊,可記做左右根。後序遍歷有遞歸算法和非遞歸算法兩種。在二叉樹中,先左後右再根,即首先遍歷左...
定義 遞歸算法 非遞歸算法