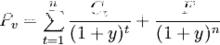
原理和套用
Pv 為債券當前市場價格,
F=債券面值
C為按票面利率每年支付的利息
y為到期收益率,到期收益率 (Yield To Maturity,簡稱YTM),又稱“滿期收益率”、“到期殖利率”(簡稱為殖利率)
債券到期收益率計算器
債券到期收益率計算器n為待償期,也叫剩餘到期年限
也可用Excel財務函數裡的IRR函式來計算到期收益率y,只是Pv值取負數,是購買支出。
舉例說明:
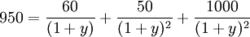
債券到期收益率計算器例題:如果票面金額為1000元的兩年期債券,第一年支付60元利息,第二年支付50元利息,現在的市場價格為950元,求該債券的到期收益率為多少?
YTM=y=5.5%
以下,按債券到期收益率計算器的界面,根據不同的付息特點和計息方法,從短期到長期,從簡單到複雜的順序舉例說明各類債券在不同到期時間下的具體計算及套用。
參考文獻
債券到期收益率
當期收益率
期間收益率
到期收益率
息票債券
1 債券到期收益率計算器.中國銀行.2008.11.17.
2 馬驥.證券投資學=Securities Investment[M].科學出版社,2008.06.
3 中國金融教育發展基金會金融理財標準委員會組織編寫.第十八章 債券市場與債券投資 金融理財原理(下冊).中信出版社,2007年02月第1版.
