債券估價的基本方法
1、一般情況下的債券估價模型
典型的債券是固定利率、每年計算並支付利息、到期歸還本金。在此情況下,按複利方式計算的
債券估價
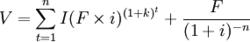
債券估價債券價值的基本模型是:
式中:V——債券價值;
i——債券的票面利率;
F——到期的本金;
k——貼現率,一般採用當時的市場利率或投資人要求的最低報酬率;
n——債券到期前的年數。
【例1 】某公司擬2002年2月1日購買一張面額為1000元的債券,其票面利率為8%,每年2月
債券估價1日計算並支付一次利息,並於5年後的1月31日到期。當時的市場利率為10%,債券的市價是920元,應否購買該債券?
=80 ×(P/A,10%,5)+1000 ×(P/S,10%,5)
=80 × 3.791+ 1000×0.621
=303.28+621
=924.28元>920元
由於債券的價值大於市價,如不考慮風險問題,購買此債券是合算的。它可獲得大於10%的收益。
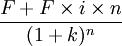
2、一次還本付息且不計算複利的債券估價模型
債券估價我國很多債券屬於一次還本付息且不計算複利的債券,其估價計算公式為:
【例2】某企業擬購買另一家企業發行的利隨本清的企業債券,該債券面值為1000元,期限為5年,票面利率為10%,不計複利,當前市場利率為8%,該債券的價格為多少時,企業才能購買?
債券估價由上述公式可知:
即債券價格必須低於1020元時,企業才能購買。
3、折價發行時債券的估價模型
債券估價有些債券以折價方式發行,沒有票面利率,到期按面值償還。其估價模型為:
公式中的符號含義同前式。
【例3】某債券面值為1000,期限為5年,以折現方式發行,期內不計利息,到期按面值償還,當時市場利率為8%,其價格為多少時,企業才能購買?
由上述公式可知:
V=1000×(P/S,8%,5)=1000×0.681=681元
即債券價格必須低於681元時,企業才能購買。
