分類
標量場的傳播子
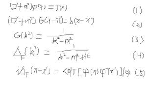
有源的Klein-Gorden方程見式1,其傳播子(也就是格林函式)滿足方程2.解為式3,常用的傳播子是某種邊界條件下的解,見式4, 等於編時乘積式5.
傳播子其他場的傳播子
電磁場的傳播子見式6, 旋量場的傳播子見式7 。
傳播子基本內容
定義
傳播子是指量子場論中,場的運動方程的格林函式。傳播子用於描述場論中單粒子運動的基本工具,常常等於兩個場的編時乘積。
力的傳遞
我們常說,力是由某種粒子傳遞的。例如:傳遞強作用的膠子共有8種,1979年在三噴注現象中被間接發現,它們可以組成膠子球,由於色禁閉現象,至今無法直接觀測到。光子傳遞電磁相互作用,而傳遞弱作用的W+,W-和Z0,膠子則傳遞強相互作用。重矢量玻色子是1983年發現的,非常重,是質子的80一90倍。在量子場論中,場與場的相互作用可以由費曼圖中的頂點表示。對於構成我們世界的磚瓦-費米子,通常不直接相互發生作用(有效理論除外)。費米子與費米子的相互作用只能通過費米子與玻色子的相互作用間接發生,這時就說這個玻色子出傳遞了這種相互作用,而相互作用的大小,正是兩邊的頂點乘上這個玻色子的傳播子。例如,電磁場對應的光子的傳播子在紅外發散,使得電磁場是長程作用,而弱相互作用對應的WZ粒子傳播子很小使得弱相互作用很弱。

