基本介紹
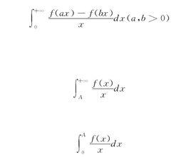
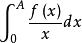
傅汝蘭尼積分是一種特殊的含參變數的廣義積分,形如
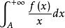
傅汝蘭尼積分的廣義積分,其中f在(0,+∞)上連續。可精確計算的情形有 :
傅汝蘭尼積分1.當f(0+)∈R, f(x)=f(+∞)∈R時,積分值為(f(0+)-f(+∞))ln(b/a)。
2.當f(0+)∈R,且存在A≥0,使
傅汝蘭尼積分收斂時,積分值為f(0+)ln(b/a);
3.當f(+∞)∈R,且存在A>0,使
傅汝蘭尼積分收斂時,積分值為f(+∞)ln(b/a) 。
傅汝蘭尼積分的證明
傅汝蘭尼積分
傅汝蘭尼積分
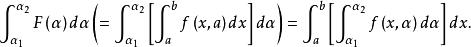
傅汝蘭尼積分定理1 設 是定義在閉區間 的(二變數的)連續函式,讓 ,此時,下列性質成立 。
傅汝蘭尼積分(i)F在 上連續。
傅汝蘭尼積分(ii)
傅汝蘭尼積分(iii)偏導函式 如在D連續,則F在[a,b]可微分而且
傅汝蘭尼積分(以上定理的證明請參考相應文獻)
傅汝蘭尼積分
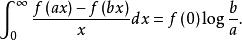
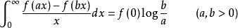
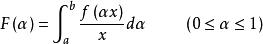
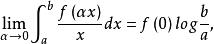
傅汝蘭尼積分Frullani的積分 f是 上的連續函式,若對任意的 存在,則
傅汝蘭尼積分稱此為Frullani的積分 。
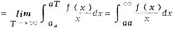
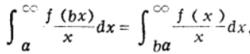
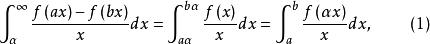
證明對任意α
傅汝蘭尼積分
傅汝蘭尼積分同理
傅汝蘭尼積分所以
傅汝蘭尼積分
傅汝蘭尼積分現令 ,在D的各點(x,α)研究與它對應的實數值f(αx)/x的函式,這個函式在閉區間D是連續的。因此,根據以上定理的(i),由
傅汝蘭尼積分所定義的函式F在[0,1)連續。故
傅汝蘭尼積分即
傅汝蘭尼積分
傅汝蘭尼積分這樣, 時,(1)的左邊收斂,且
傅汝蘭尼積分
