基本介紹
發生周期性循環現象的偽隨機數個數,稱為偽隨機數的周期。
偽隨機數亦稱擬隨機數、準隨機數。按照不同於隨機性原則的一定規則或程式,用數學方法通過選定的遞推關係和疊代過程產生的,具有與隨機數相似性質的數字。產生偽隨機數的常用數學方法,有同餘法、移位法、取中法、無理數的十進分解法....等。在數字計算機上用數學方法產生偽隨機數,每到產生一定數量的偽隨機數之後,出現循環重複的周期現象或退化為0的退化現象。對這類數學方法的一般要求為,1.產生偽隨機數的周期一不重複偽隨機數的數量一一應充分地長;2.產生隨機數的速度要快,而所占用的記憶體要少;3.所產生的偽隨機數具有所需要的統計性質——隨機性和與給定分布律的一致性。嚴格地說,用任何數學方法疊代產生的偽隨機數,都不是真正的隨機數。不過在許多實際套用中,假如偽隨機數的周期充分長,且通過相應的統計檢驗在一定顯著性水平下可以認為,所得偽隨機數滿足隨機性假設和與給定分布的--致性(擬合)假設,則這樣的偽隨機數可以代替隨機數使用 。
偽隨機數的周期和最大容量
偽隨機數周期
偽隨機數周期
偽隨機數周期
偽隨機數周期
偽隨機數周期
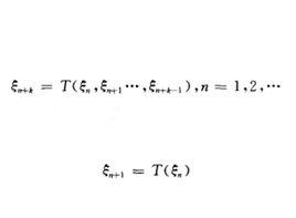
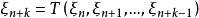
偽隨機數周期用來產生隨機數的方法的數學方法,亦即用遞推公式:,對於給定的初始值,確定,經常遇到的是k=1情況,這時的遞推公式是,對於給定的初始值,確定。
用數學方法產生的隨機數存在兩個問題
偽隨機數周期
偽隨機數周期(i)遞推公式和初始值 確定後,整個隨機數序列便被唯一確定下來了。或者說,隨機數序列中除前k個隨機數是選定的外,任意一個隨機數 ,被前面的隨機數唯一確定了,不滿足隨機數相互獨立的要求。
(ii)的既然隨機數序列是用遞推公式確定的,而在電子計算機上所能表示的[0,1]上的數又是有限多的,因此,這樣的隨機數序列就不可能不出現重複地無限繼續下去,一旦出現了這樣的n'和n'',n'<n'',使得如下等式成立
偽隨機數周期隨機數序列便出現了周期性的循環現象。這同對隨機數的要求是相矛盾的。
由於這兩個原因,常稱用數學方法所產生的隨機數為偽隨機數。
關於偽隨機數的第一個問題,不能從本質上加以改變;但是,只要產生偽隨機數的遞推公式選得比較好,隨機數的相互獨立性是可以近似地滿足的。至於第二個問題,則不是本質上的,因為用蒙特卡羅方法解決任何問題時,所用隨機數的個數總是有限多個的,只要其個數不超過偽隨機數序列出現循環現象時的長度就可以了。用數學方法產生偽隨機數非常容易在電子計算機上實現,可以復算,而且不受電子計算機限制,因此,雖然存在著一些問題,但是仍然被廣泛地在電子計算機上使用,是在電子計算機上產生隨機數的最主要方法 。
偽隨機數的周期和最大容量
由於偽隨機數序列一定會出現周期性的循環現象,因此,在使用偽隨機數的時候不可能無限制地繼續下去,就是說由偽隨機數所組成的子樣容量應有一個最大限度,超過這個限度將出現偽隨機數的重複。發生周期性循環現象的偽隨機數個數,稱為偽隨機。數的周期,根據(1)式,偽隨機數的周期等於n''-n',從偽隨機數序列的初始值開始,到出現循環現象時為止,所產生的偽隨機數的個數n''稱為偽隨機數的最大容量 。

