基本信息
偏鋁酸鉀的結構式【中文名】偏鋁酸鉀
【英文】potassium metaaluminate
【化學式】KAlO
【溶解性】 可溶於水
【相對分子質量】大約為98
【狀態】 常溫下為白色固體
生成
1、與偏鋁酸鈉的生成類似,偏鋁酸鉀可由鋁、氫氧化鋁或氧化鋁與氫氧化鉀溶液反應生成
2Al+2KOH+2HO=2KAlO+3H↑
偏鋁酸鉀的生成Al(OH)+KOH=KAlO+2HOAlO+2KOH=2KAlO+HO
2、偏鋁酸鉀還可以由鋁鹽加過量氫氧化鉀生成
AlCl+4KOH=KAlO+3KCl+2HO
化學性質
概述
由於偏鋁酸鉀和偏鋁酸鈉都含有偏鋁酸根離子,故而,偏鋁酸鉀的很多化學性質與偏鋁酸鈉類似,比如與強酸反應,和二氧化碳反應,與鋁離子反應。其中,參與這些反應的是偏鋁酸根離子,鉀離子不參加反應。
而因為偏鋁酸根是弱酸根,所以偏鋁酸根會水解,故而偏鋁酸鉀溶液呈鹼性。
另外,偏鋁酸鉀還可以與濃硫酸反應,生成明礬(十二水合硫酸鋁鉀)。
強酸反應
偏鋁酸鉀溶液可以與強酸(比如鹽酸等)反應,生成氫氧化鋁,如果強酸過量,還可生成鋁離子
KAlO+HCl+HO=Al(OH)↓+KCl
KAlO+4HCl=AlCl+2HO+KCl
二氧化碳反應
偏鋁酸鉀溶液與二氧化碳發生反應,生成碳酸鉀和氫氧化鋁。但是,氫氧化鋁並不和二氧化碳反應,但碳酸鉀會和二氧化碳繼續反應,生成碳酸氫鉀。故而,在二氧化碳適量時,生成的是氫氧化鋁和碳酸鉀,二氧化碳過量時,生成氫氧化鋁和碳酸氫鉀
2KAlO+CO+3HO=2Al(OH)↓+KCO(二氧化碳適量)
KAlO+CO+2HO=Al(OH)+KHCO(二氧化碳過量)
鋁離子反應
偏鋁酸鉀會和鋁離子發生雙水解反應,生成氫氧化鋁
AlCl+3KAlO+6HO=4Al(OH)↓+3KCl
碳酸氫根離子
偏鋁酸鉀不僅僅會和鋁離子反應,和碳酸氫根離子也會發生類似強酸制弱酸的反應(碳酸氫根將它的氫給偏鋁酸根,自己形成碳酸根,這是一個單方給予的過程;而雙水解則是一個從水那裡各取所需的過程),二者在溶液中不能共存。比如偏鋁酸鉀會和碳酸氫鉀發生化學反應,生成碳酸鉀和氫氧化鋁。偏鋁酸鉀和碳酸氫鉀的反應方程式為:
KAlO+KHCO+HO=Al(OH)↓+KCO
偏鋁酸鉀由於鉀離子實際上並不參加反應,參加反應的是偏鋁酸根離子,故而,該反應化為離子方程式為:
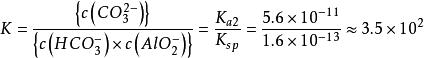
證明:因為碳酸的二級電離常數為:
偏鋁酸鉀而氫氧化鋁的酸式溶度積常數為:
偏鋁酸鉀而由於偏鋁酸鉀和碳酸氫鹽(如碳酸氫鉀)反應的化學平衡常數為
偏鋁酸鉀常數較大,反應顯然能發生。
同理,偏鋁酸鉀還會和亞硫酸鉀、磷酸二氫鉀反應,故而偏鋁酸鉀與碳酸氫鹽(如碳酸氫鉀(KHCO))、亞硫酸氫鹽溶液(如亞硫酸氫鉀(KHSO))、磷酸二氫鹽溶液(如磷酸二氫鉀(KHPO))都不能共存於同一溶液中。但是,偏鋁酸鉀可以和碳酸根共存於同一溶液中。
生成明礬
在偏鋁酸鉀溶液中加入過量濃硫酸,可生成溶解度較小的復鹽明礬(KAl(SO)·12HO)。反應式為:
偏鋁酸鉀故該反應可用於製備明礬。
水解
由於偏鋁酸鉀中的偏鋁酸根是弱酸根離子,故而偏鋁酸鉀可在水中發生水解,參與水解的是偏鋁酸根離子,鉀離子並不參加反應。
由於偏鋁酸根離子水解的緣故,偏鋁酸鉀溶液呈鹼性。反應方程式為(註:該反應可逆):
偏鋁酸鉀反應實質
在關於偏鋁酸鉀的很多反應中,由於鉀離子不參與反應,故而參與反應的實際上是偏鋁酸根離子。
偏鋁酸鉀與強酸發生反應:(註:上面的反應是酸適量時發生,下面的反應是酸過量時發生)
與弱酸HCO發生反應,即通入CO氣:
偏鋁酸鉀∵Al(OH)酸性<HCO,且Al(OH)酸性<
偏鋁酸鉀∴反應為:(註:上面的反應是CO適量時發生,下面的反應是CO過量時發生)
與鋁離子反應:鋁鹽和偏鋁酸鹽溶液互促水解反應
偏鋁酸鉀舊認識更正
偏鋁酸鉀人教版教材中編寫道:氫氧化鋁溶於氫氧化鈉溶液生成偏鋁酸鈉溶液,而後來的山東科學技術出版社出版的化學教材(必修一)中,講到鋁和其金屬材料一課中,說Al和NaOH和水反應生成Na[Al(OH)₄]四羥基合鋁酸鈉。這是怎么一回事呢?實際上,偏鋁酸鈉在水溶液中都是以Na[Al(OH)₄]的形式存在,以前只不過是為了方便,把它簡寫成NaAlO₂。但它的實際組成還是Na[Al(OH)₄]。
不僅僅是偏鋁酸鈉,偏鋁酸鉀等其它偏鋁酸鹽也類似。偏鋁酸根在水溶液中是以四羥基合鋁酸根的形式存在,只不過為了方便,才把它寫成偏鋁酸根的形式,但偏鋁酸鹽的實際組成仍是四羥基合鋁酸根。
偏鋁酸鉀因此,根據上述結論,偏鋁酸鉀在水溶液中也是以四羥基合鋁酸鉀()的形式存在,為了書寫方便,故而把四羥基合鋁酸鉀仍舊寫成了偏鋁酸鉀(KAlO),但偏鋁酸鉀在溶液中的實際組成仍然是四羥基合鋁酸鉀。真正的偏鋁酸鉀只能在熔融狀態下存在。

