偏摩爾焓
偏摩爾焓偏摩爾焓是偏摩爾量中的一種,指在等溫等壓下,往極大體積的溶液中加入一摩爾組分時所引起的該溶液的焓變化,即
偏摩爾焓
偏摩爾焓
偏摩爾焓
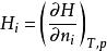
偏摩爾焓式中,和分別為溶液的總焓和組分的物質的量。
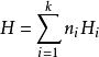
偏摩爾焓的計算方法主要有以下三種:分析法、圖解法和截距法。偏摩爾焓具有強度性質,與混合物的濃度有關,而與混合物的總量無關 ,其遵循偏摩爾量的加和公式:
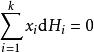
偏摩爾焓此外,偏摩爾焓還滿足Gibbs-Duhem方程,即
偏摩爾焓
偏摩爾焓
偏摩爾焓式中是組分的摩爾分數。
偏摩爾焓是偏摩爾量中的一種,指在等溫等壓下,往極大體積的溶液中加入一摩爾某組分時所引起的該溶液的焓變化。
偏摩爾焓
偏摩爾焓偏摩爾焓是偏摩爾量中的一種,指在等溫等壓下,往極大體積的溶液中加入一摩爾組分時所引起的該溶液的焓變化,即
偏摩爾焓
偏摩爾焓
偏摩爾焓
偏摩爾焓式中,和分別為溶液的總焓和組分的物質的量。
偏摩爾焓的計算方法主要有以下三種:分析法、圖解法和截距法。偏摩爾焓具有強度性質,與混合物的濃度有關,而與混合物的總量無關 ,其遵循偏摩爾量的加和公式:
偏摩爾焓此外,偏摩爾焓還滿足Gibbs-Duhem方程,即
偏摩爾焓
偏摩爾焓
偏摩爾焓式中是組分的摩爾分數。
對於由多種物質構成的溶液而言,規定了系統的溫度和壓力,並沒有完全確定系統的狀態,因此,必須規定系統中每一種物質的數量,才能最終確定系統的狀態,而且溶液的...
偏摩爾量 摩爾性質與偏摩爾性質關係式 重要結論 典例偏摩爾熱力學函式,即對於一個多組分均相系統,偏摩爾熱力學函式XB定義為: X=(R-W)/(R+W) ,XB稱為在該系統中物質B的偏摩爾熱力學函式。
正文110二、反應進度ξ110三、物質的標準態及標準摩爾反應焓111四、定壓...的計算114一、標準摩爾生成焓ΔfHm115二、由標準摩爾生成焓計算標準摩爾反應焓115三、標準摩爾燃燒焓ΔcHm116四、由標準摩爾燃燒焓...
基本信息 內容簡介 目錄物性模型的基礎。第3章“流體的熱力學性質:焓與熵”以剩餘性質和偏摩爾性質...的熱力學關係6838偏摩爾性質及其與流體性質關係71381偏摩爾性質的加成關係71382偏摩爾性質間的關係72383偏摩爾性質的計算...
基本信息 內容簡介 目錄過程中流體pVT及焓變計算舉例本章小結習題第4章 偏摩爾性質、逸度和活度4.1 變組成系統熱力學關係4.2 偏摩爾性質4.2.1 定義及熱力學關係4.2.2 偏摩爾性質之間的熱力學關係4.2.3 偏摩爾性質的計算...
內容簡介 目錄的基礎。第3章“流體的熱力學性質:焓與熵”以剩餘性質和偏摩爾性質的概念為...683.8 偏摩爾性質及其與流體性質關係713.8.1 偏摩爾性質的加成關係713.8.2 偏摩爾性質間的關係723.8.3 偏摩爾性質的計算...
內容簡介 圖書目錄組成系統的熱力學關係 744.2 偏摩爾性質 764.2.1 偏摩爾性質的引入及定義 764.2.2 偏摩爾性質的熱力學關係 784.2.3 偏...(Maxwell)關係式 433.2 焓變與熵變的計算 463.2.1...
內容提要 目錄基本關係式、偏導數關係式和Maxwell方程的意義5532焓變和熵變...溶液熱力學性質的計算8941均相敞開系統的熱力學基本關係8942偏摩爾性質91421偏摩爾性質的引入及定義92422偏摩爾性質與溶液...
基本信息 內容簡介 目錄,相當於總氣壓的分壓: 依數性 依數性 對上式進行變換, ,因為摩爾分數總是...
發現簡史 相關概念 蒸氣壓下降 沸點升高 凝固點下降