個別資本成本率的計算
個別資本成本率
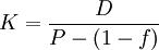
個別資本成本率個別資本成本率是企業資本占用費與有效籌資額的比率,基本公式為:
式中:K——資本成本率,以百分率表示;D——資本占用費;p籌資總額;F——資本籌集費用額;f——籌資費用率,即資本籌集費占籌資總額的比率。
為了滿足企業進行長期籌資決策的需要,應區別各種來源測算其資本成本,其中包括:長期借款成本、債券成本、優先股成本、普通股成本、留存收益成本。
1.長期借款資本成本率
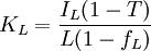
企業長期借款的資本成本是由借款利息和籌資費用構成的,借款利息計入稅前成本費用,可以起到抵稅的作用,因此,一次還本、分期付息借款的資本成本率為:
個別資本成本率
個別資本成本率式中:KL ——長期借款資本成本率;IL ——長期借款年利息額;L——長期借款籌資總額;fL ——長期借款籌資費用率;T——所得稅率。式中:i——長期借款的利率。
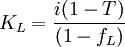
若長期借款的籌措費用(主要是借款的手續費)很少時,也可以忽略不計。忽略手續費時。長期借款的資本成本率為:
KL = i(1 − T)
如果銀行要求借款企業在銀行中經常保持一定的存款餘額作為抵押,即契約中附加補償性餘額條款時,計算長期借款成本率應該將存款保留餘額從長期借款總額中扣除,因為企業並未真正使用這部分資金。此時,借款的實際利率和資本成本率都會上升。
個別資本成本率如果在一年內結息次數超過一次,為M次,借款期數為N年,則借款的實際利率,即資本成本率為:
式中:M——1年內借款結息次數;N——借款年數。
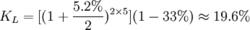
個別資本成本率【例】某公司從銀行取得5年期借款800萬元,年利率為5.2%,每半年結息一次,到期一次還本,公司所得稅稅率為33%。這筆借款的資本成本率為:
2.長期債券資本成本率
個別資本成本率發行債券的成本,主要指債券利息和籌資費用。債券利息是事先根據資本市場上的利率情況確定的。按照規定,發行債券的企業定期支付的債券利息是在稅前支付的,因此,企業實際上少繳了一部分所得稅,那么企業實際負擔的債券利息為:債券利息×(1一所得稅稅率)。債券的籌措費即發行費用,包括申請費、註冊費、印刷費、上市費和推銷費等。所以,長期債券的資本成本率為:
式中:KB ——債券資本成本率;B——債券籌資總額,按發行價確定;fB ——債券籌資費用率。
個別資本成本率
個別資本成本率【例】某公司準備發行10年期長期債券,其面值為l000元,票面利率為8%,實際發行價格為1100萬元,平均每張債券的發行費用8元,公司所得稅稅率33%,測算該債券的資本成本率。
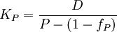
3.優先股資本成本率
個別資本成本率企業發行優先股股票,同發行債券和長期借款一樣,需要支付籌措費,如註冊費、代銷費等。其股息也要定期支付。但由於股息是稅後支付的,沒有享受所得稅優惠,所以其資本成本率的計算與債券和長期借款不同,公式為:
式中:KP ——優先股資本成本率;D——優先股每股年股利;P——優先股發行價格;fP ——優先股籌措費率。
個別資本成本率【例】某公司發行面值每股100元的優先股100000股,年股利率為6%,發行費用為股金總額的2%,則優先股的資本成本率為:
當企業資不抵債時,優先股股東的索償權,次於長期貸款的債權人和長期債券的持有人,所以優先股的投資風險比長期貸款和長期債券的投資風險高,因而優先股的股息率一般高於借款的利率和債券的利率。同時優先股股票不僅籌措費較高,而且支付優先股股息不會減少企業應繳的所得稅,所以優先股的成本率明顯高於債券的成本率。但是,發行優先股籌集的資金是自有資金,可以被企業長期占用,因此在一定條件下,企業仍樂於採用這種籌資方式。
4.普通股資本成本率
由於普通股的股利率是不固定的,需要根據每年的盈利情況而定,這就使得普通股的資本成本率與優先股有所不同。按照資本成本實質是投資者要求的收益率的思路,計算普通股資本成本率的方法相當於計算普通股要求收益率的方法。計算方法主要有:股息率加增長率法、資本資產定價模型法。
個別資本成本率(1)股息率加增長率方法。如果公司採用固定增長股利的政策,股利固定增長率為G,則普通股的資本成本率為:
式中:KC ——普通股資本成本率;D——普通股每股年股利;P——普通股發行價格;fC ——普通股籌措費率;G——股利年固定增長率。
個別資本成本率【例】某公司普通股目前市價為10元,估計年增長率為5%,預計第一年發放股利o.6元,籌資費率為股票市價的4%,則發行普通股的資本成本率為:
(2)資本資產定價模型法。資本資產定價模型是西方金融理論學界的威廉·夏普等人在資產組合理論基礎上的又一新發展,廣泛套用於發達市場國家的投資價位評估與基金管理中。資本資產定價模型的內容可以簡單描述為:普通股股票的預期收益率等於無風險利率加上風險補償(也稱風險溢價或市場風險報酬率)。採用此原理計算普通股資本成本率,其公式為:
KC = RF + β(RM − RF)
式中:RF ——無風險報酬率;β ——某種股票的風險對證券市場風險的敏感程度;RM ——證券市場的平均報酬率。
個別資本成本率【例】某公司準備發行普通股籌資,此時無風險利率為2.5%,市場平均收益率為8%,根據同類上市公司的盧係數預測該股票的盧係數為1.25,計算該股票的資本成本率為:
企業在清算時,普通股股東的索償權不僅在債券持有人之後,而且也在優先股股東之後,其投資風險最大,因而股利率比債券利息率、貸款利率和優先股股利率都高,另外,其股利率還將隨企業經營狀況而逐年變化。一般言之,如果企業的收益逐年增加,則企業支付的股利也將逐年增長,所以普通股資本成本率最高。
5.留存收益的資本成本率
留存收益也叫留用利潤,包括盈餘公積金和未分配利潤。盈餘公積金是企業按照國家有關規定從利潤中提取的公積金,包括法定盈餘公積金、任意盈餘公積金和法定公益金。
國家為維護債權人的利益和企業職工的利益,避免“吃光分淨”,保證企業健康穩定發展,規定企業要從稅後利潤中按比例提取盈餘公積金。盈餘公積金可用於彌補虧損、轉增資本金和職工福利事業支出等。
未分配利潤是企業歷年累積的,留待企業以後年度分配的利潤。實際上,留存收益在使用期內是不需要支付成本的,但由於股東放棄了現金股利,便承受一定的機會成本。所以我們假設它是一種投資,此時,股東希望這部分留用利潤能獲得與普通股相同的報酬。因此,留用利潤資本成本率的計算與普通股的資本成本率基本相同,只是不考慮籌資費用。
個別資本成本率當股利每年有一個穩定增長率時,留存收益的資本成本率為:
式中:KE ——留存收益資本成本率;D——第一年普通股股利;P——股票價格;G——股利每年的增長率。
由於留存收益不需支付籌措費用,所以其資本成本略低於普通股的成本率。
企業在選擇融資方式時,要考慮不同籌資方式的資本成本水平,一般言之,按資本成本率從低到高的順序排列,以上五種籌資方式依次為:
長期借款<長期債券<優先股<留存收益<普通股
參考文獻
1 孫曉靜主編.財務管理.對外經濟貿易大學出版社,2008.8.
2 安保榮主編.財務管理教程.立信會計出版社,2004年09月第1版.
