概念
信道間隔(channel spacing)是指兩個相鄰信道的標稱載頻的差值,可以用來防止信道間干擾。
對於一種給定發射類別,該差值應為一常數,通常規定的信道間隔有25KHz(寬頻)、20KHz、12.5KHz(窄帶)等。
信道間隔在一定範圍內越大,信號干擾就越小;但是當信道間隔達到一定數值之後,信道間干擾就不隨信道間隔的增大而減小了。另外信道間隔越大,頻譜利用率就降低。雖然通信質量很重要,但是頻譜也很寶貴,所以一般需要在兩者中權衡信道間隔的大小。
工作原理
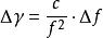
G.692檔案規範WDM的信道間隔為25GHz的整數倍。目前優先選用的是100GHz和50GHz信道間隔。最小信道間隔受傳送端光源譜寬和接收端光濾波器通帶可能達到的狹窄程度所限制。信道的頻率間隔與對應的波長間隔由下式換算:
信道間隔
信道間隔
信道間隔
信道間隔
信道間隔
信道間隔
信道間隔取,光速。算得:對應於;為50GHz和25GHz對應的分別為0.402nm和0.201nm。
實際WDM系統採用的信道間隔與復用路數有關。目前EDFA不加光濾波器修理的可用頻寬通常取1540~1560nm,共含25個100GHz信道間隔,50個50GHz信道間隔。因此16波WDM採用100GHz信道間隔,而32波WDM必需採用50GHz信道間隔。64波則必需採用光濾波器對EDFA的可用增益頻寬予以修整擴展,系統的成本將明顯增大。至於100路以上的WDM系統則要利用EDFA和拉曼受激放大相結合的光放大方案,屬於科研性質,可以先不考慮成本因素。

