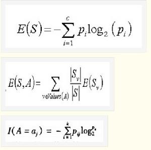
G(A)即Gain(S, A)=E(S)–E(S, A)


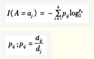
如下圖所示:屬性A有五個取值,每個取值對應一個實例,則I(1,1,1,1,1)=-1/5*log(1,5)*5

即:信息增益率的計算在掌握了信息增益的計算的基礎上,需要知道分母怎么算,分母的算法與E(S,A)的算法不同,再舉一個例子:

outlook的信息增益率的計算:
G(S,A)=E(S)-E(S,A)
Gain-ratio(A)=G(S,A)/I
I(5,4,5)=-5/14log(5,14)-4/14log(4,14)-5/14(5,14)
其中,log(5,14)即為log2(5/14).
