基本知識
保角變換
保角變換
保角變換當變換為單值函式時,對於Z平面上的一個點,在W平面就有一點叫與之對應;對於Z平面上的一條曲線C,W平面就有一條曲線C'與之對應;同樣,在Z平面上的一個圖形D,也在W平面就有一個圖形D'與之對應,這種對應關係稱為 映射,或稱為 變 換.如圖1所示。在這種變換中,儘管圖形的形狀要發生變化,但是相應的兩條曲線之間的夾角卻保持不變,所以該變換也叫做 保角變換。
圖1(a)
圖2(b)
保角變換
保角變換
保角變換
保角變換
保角變換
保角變換
保角變換
保角變換
保角變換
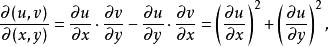
保角變換為了證明保角性,設Z平面的點,沿曲線有一個增量,沿曲線有一個增量;相應的W平面的點,沿曲線有一個增量,沿曲線有一個增量,於是
保角變換
保角變換
保角變換當不等於零時,它們之間的輻角關係為
保角變換
保角變換以上兩式相減,得
保角變換即
保角變換這樣就證明了 保角性。在變換前後,圖形的形狀要產生旋轉和伸縮,但是兩條曲線之間的夾角保持不變。使用保角變換法求解靜態場問題的關鍵是選擇適當的變換函式,將Z平面上比較複雜的邊界變換成W平面上較易求解的邊界。
注意事項
使用保角變換應注意以下幾點。
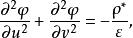
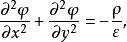
(1)如果變換以前勢函式滿足拉普拉斯方程,則在變換以後勢函式也滿足拉普拉斯方程。如果變換以前勢函式滿足泊松方程,即
保角變換則在變換以後,勢函式滿足以下泊松方程:
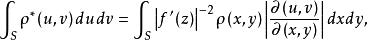
保角變換
保角變換式中,。這表明,二維平面場的電荷密度經過變換以後要發生變化,但是電荷總量不變,其理由是
保角變換而
保角變換所以
保角變換(2) 在變換前後,Z平面和W平面對應的電場強度要發生變化,它們之間的關係為
保角變換
保角變換
保角變換這是因為,從Z平面變換到W平面時,線元的長度要伸長倍,相應的電場強度要減小倍。
保角變換
保角變換
保角變換(3) 變換前後,兩導體之間的電容量不變。這裡的電容是指單位長度的電容。因為變換前後兩個導體之間的電位差不變,兩導體面上的電場和電荷密度發生了變化,但是,導體上的電荷總量不變。如取為Z平面上導體表面,為變換以後W平面上的導體表面,則沿軸線方向單位長度的上的總電荷為
保角變換
保角變換則沿軸線方向單位長度的上的總電荷為
保角變換因為
保角變換所以有
保角變換可以使用這個性質方便地計算兩個導體之間的電容量。
例題解析
保角變換
保角變換
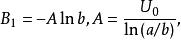
保角變換例1 設無限長同軸線的內導體半徑為,電位為;外導體內半徑為b,電位為零。內、外導體間充滿介電常數為的均勻介質。試計算同軸線的電位分布及單位長度的分布電容。
解:套用對數形式的複變函數計算電位分布。因為是二維平面場,在Z平面上導體邊界形狀是圓,所以選擇u為等位線。
保角變換設,令
保角變換
保角變換由邊界條件確定常數A和,即
保角變換
保角變換於是
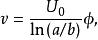
保角變換則
保角變換
保角變換令,得
保角變換
保角變換因此,Z平面上u是以軸心為圓心、以為半徑的一簇同心圓。
保角變換
保角變換
保角變換Z平面上內、外導體間的介質區域,通過保角變換變為W平面上一長方形區域。在W平面上計算單位長度電容,只需求出距離為、寬度為的平板電容器的單位長度電容,所以計算要簡單得多。
保角變換
