介紹
保號性
保號性
保號性
保號性函式 在一定點集 上有定義,且函式值恆正(或恆負),則稱函式 在一定點集 上具有保號性。
有界區域
函式有非零極限點去心鄰域內的局部保號性
保號性
保號性
保號性
保號性定理 若函式 在 點的某個去心鄰域內 有定義,且 ,
保號性
保號性
保號性
保號性
保號性
保號性(1)若 (或 ),則存在某個去心鄰域 ,對該去心鄰域內一切 恆有 (或 )。
保號性
保號性
保號性
保號性
保號性
保號性(2)存在某個去心鄰域 ,對該去心鄰域內一切 恆有 (或 )。則 (或 )
保號性證明(1)由於 ,根據極限定義,
保號性
保號性
保號性
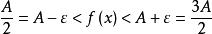
保號性對於取定正數 ,總存在 ,當 時,有 ,
保號性
保號性
保號性即 ,該去心鄰域內一切 恆有 。
(2)是 (1)的逆否命題,用反證法可得證明。
函式連續點鄰域內的局部保號性
保號性
保號性
保號性
保號性
保號性
保號性
保號性
保號性
保號性
保號性
保號性若函式 在 點的某個去心鄰域內 有定義, 在 點連續,且 (或 ),則存在某個(實心)鄰域 ,對該去心鄰域內一切 恆有 (或 )。
保號性
保號性
保號性
保號性
保號性證明 不妨設 ,根據連續定義,有 ,根據極限的局部保號性,知存在某個去心鄰域 ,對該去心鄰域內一切 恆有 。
保號性
保號性
保號性
保號性由於該鄰域中心 點已有 ,該去心鄰域對應的實心鄰域內一切 恆有 。
無窮遠處
保號性
保號性
保號性
保號性
保號性
保號性
保號性若函式 在( )上有定義, 【或 】,則必存在 ,當 時, 。
保號性結論1的證明對於 的情況 ,根據極限定義,
保號性
保號性
保號性
保號性
保號性對於取定正數 ,總存在 ,當 時,有 ,即 。
保號性
保號性
保號性
保號性
保號性對於 的情況,根據極限定義,對於任意取定的正數 ,必存在 ,當 時, 。
保號性
保號性
保號性對於 ,以及 【或 】的情況,都成立類似結論:
局部保序性
保號性
保號性局部保序性是函式極限的重要性質之一,它是局部保號性的一個推廣。以下只就 的情況作敘述, 時的情況完全類似,不再贅述。
保號性
保號性
保號性
保號性
保號性定理 設 , ,若 ,則存在 點的某個去心鄰域,在此鄰域內恆有 。
保號性
保號性
保號性
保號性
保號性設 , ,若存在 點的某個去心鄰域,在此鄰域內恆有 。則 。
保號性這個定理可以直接證明,也可以作了輔助函式 後利用局部保號性來證明。
數列的保號性
保號性若 ,
保號性
保號性
保號性
保號性
保號性(1)若 ,那么存在正整數 ,當 時,有 。【 注:若 也有類似結論】
保號性
保號性
保號性
保號性(2)若存在正整數 ,當 時,有 ,則 。

