簡介
電場中某點的位移電流密度等於該點的電位移矢量對時間的變化率。表達式如下:
位移電流密度電位移矢量
電位移矢量是在討論靜電場中存在電介質的情況下,電荷分布和電場強度的關係時引入的輔助矢量。即是一個用以描述電場的輔助物理量,用符號D表示。它的定義式為:
位移電流密度式中E是電場強度,P是極化強度,ε是真空介電常數。D的單位是C/m²。對線性各向同性的電介質有D=εE,ε是電介質的絕對介電常數。電位移矢量又叫電感應強度矢量。
位移電流和位移電流密度的定義式
位移電流密度
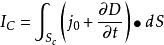
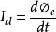
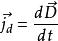
位移電流密度根據麥克斯韋所提出的位移電流的概念,位移電流強度 和位移電流密度 分別定義為 :
位移電流密度
位移電流密度
位移電流密度其中, 。
上述定義式說明,通過電場中的某截面的位移電流強度等於通過該截面的電位移通量的時間變化率;電場中某點的位移電流密度等於該點處電位移矢量的時間變化率。
位移電流密度公式的一種導出方法
位移電流密度位移電流密度公式 的導出在大多數電磁學教材里以及有關文獻中都是用平行板電容器的充放電過程這個特例得出全電流公式,並指出全電流的連續性,以此得出位移電流密度公式。然而在教學中學生往往不易理解其物理含義,對位移電流的實質也認識不清,使學生認為只有傳導電流為零的地方才由位移電流“接下去”。因此從電荷運動和場的變化的整體觀念,運用高斯定律和電荷守恆定律來導出位移電流的密度公式,其推導過程本身對學生理解全電流的概念亦有幫助。
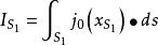
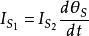
設S為空間任一閉合曲面,其法線向外,如圖所示,C為S上一有向閉合曲線,分S為S、S兩個曲面,按右手法則,S的法線將指向內部,而S的法線保持不變。設在此空間內有穩恆電流流動,在某時刻穿過S面的電流為IS,穿過S面的電流為IS,根據電荷守恆定律,不可能有電荷在S內積累或放出,所以,IS= IS。
位移電流密度
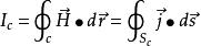
位移電流密度而根據安培環路定律,有: 。
這裡Sc是以C為邊界的任何曲面,取S為S即得電流IS,取Sc為S即得IS,所以在恆流情況下IS= IS是必然的。然而並不是在所有情形下在任何時刻穿過S的傳導電流IS都與穿過S的傳導電流IS相等。現考慮這樣一種情況:
一根無限長的荷電直導線,以勻速V沿其軸向運動,如果導線中電荷的分布是均勻的,其線密度為λ,那么對於靜止的觀察者來說,此即一無限長的通電長直導線,其電流強度為λV,如圖,我們選擇以導線為軸線的圓柱面,S、S分別為圓柱面的兩個底面,C為S的邊界線,即是一個繞圓柱的圓,由於是穩恆電流,所以IS= IS。然而若此無限長直導線荷電並非均勻,其荷電線密度隨空間點x而變化,為λ(x),顯然對於某一時刻傳導電流IS和IS就不再相等,因為:
位移電流密度
位移電流密度
位移電流密度
位移電流密度
位移電流密度因為 ,故 。
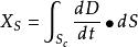
位移電流密度這樣,穿過閉合曲線C的傳導電流就不再是一個恆定的量, 對於這種情形就不再適用了。對於我們所選的S和S來說,如某時刻穿過S的傳導電流為IS,那么此時刻穿過S的傳導電流IS相對IS來說就會有所“增加”或“減少”,即是說在時間間隔dt內在S內有電荷積累或放出,顯然此導線在空間建立的電場為一隨時間而變化的場,對此運用高斯定律,則其電場的通量和所選曲面內導線中心的電荷積累和放出相關,因此,我們令:
位移電流密度
位移電流密度
位移電流密度這裡XS、XS2是考慮到電荷的積累或放出而引起的所謂“動態修正”,由此,我們認為在這種非恆流情形下整個空間的“電流”仍然是恆定的話,就有: 。
位移電流密度即 。
位移電流密度考慮對於S面的電荷運動情況,則:
位移電流密度由電荷守恆定律,有 。
位移電流密度這裡, ,是某時刻流過S和S的傳導電流,根據高斯定律,有
位移電流密度由於S、S的取法具有任意性,於是得到動態修正的表達式
位移電流密度因此,我們考慮到空間電場的變化,則空間中的電流強度就應寫成:
位移電流密度這樣,電流密度公式就是:
位移電流密度
