定義
伽羅瓦預解式 (Galois resolvent)是決定方程的伽羅瓦群的一個函式式。設域F上的n次多項式f(x)沒有重根,且x,x,…,x為其根。可選擇m,m,…,m使得函式
伽羅瓦預解式在x,x,…,x的n!個置換作用於V能夠得到n!個不同的函式V,V,…,V。再構造一個函式。
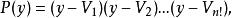
伽羅瓦預解式它作為y的多項式,其係數為V,V,…,V的初級對稱多項式,當然也為根x,x,…,x的對稱函式,若P(y)在F上不可約,則取G(y)=P(y);若P(y)在F上可約,規定G(y)是P(y)的以V為根的不可約因式。這個不可約多項式G(y)就稱為f(x)=0的伽羅瓦預解式。由於G(y)的根是V,V,…,V的一部分,所以,若V,V,…,V為s次多項式G(y)的根,則由V變為V,V,…,V所對應的s個置換σ,σ,…,σ構成n次對稱群S的一個子群,這個子群同構於f(x)=0的伽羅瓦群。
起源與發展
背景
19 世紀初 ,在解出三、四次方程後的整整兩個半世紀內,很少有人去懷疑五次以及五次以上的代數方程的根式求解的可能性。拉格朗日(J.L.Lagrange,1736—1813)的目標是完成一般方程的根式解問題,而高斯(Carl FriedrichGauss,1777—1855)的工作只給出了一類特殊方程的根式解。歷史上第一個明確提出“不可能用根式解四次以上方程”的數學家是拉格朗日。1770 年,在《關於代數方程解的思考》一文中,討論了在他之前人們所熟知的解二、三、四次方程的一切解法,並且指出這些成功解法所根據的情況對於五次以及更高次方程是不可能發生的。
受拉格朗日的影響,魯菲尼(Ruffini,1765—1822)在其著作《方程的一般理論》中,證明了不存在一個預解函式能滿足一個次數低於五次的方程。後來,他大膽地著手證明,五次及五次以上的代數方程是沒有根式解的。但是,魯菲尼的證明晦澀難懂,故當他的成果發表之後,得到了許多負面評論,甚至不斷有人否認他的工作。
1824年,阿貝爾作出了一個新的證明,這個證明於1826年發表在克雷爾(L. Crelle,1780—1855)雜誌上,題為“論五次代數方程”。儘管這個證明同樣包含了一些小錯誤,但卻本質上解決了一般五次及五次以上方程不存在根式解。
創建
在魯菲尼和阿貝爾之後,關於代數方程的根式解工作被分成了有著完全不同結果的兩類:一類是任意次分圓方程的可根式求解;另一類是五次及五次以上一般方程的不可根式解。因此,數學家面臨的問題產生了:哪一類特殊方程是可以根式求解的?
這個問題被年輕的數學家伽羅瓦所解決。伽羅瓦的論文曾遭到法國科學院的冷遇,直到他去世以後,在1846年才由劉維爾(J.Liouville,1809—1882)整理髮表出來。
思想方法
為了掌握伽羅瓦的思想,在此考慮方程:
伽羅瓦預解式
伽羅瓦預解式其中係數p,q是獨立的,令F是由p,q的有理表達式所形成的域,這些表達式的係數在有理域中,一個典型的表達式是
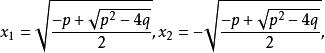
這個方程的4個根是:
伽羅瓦預解式
伽羅瓦預解式容易看出這些根的係數在F中的兩個關係x+x=0,x+x=0對這些根都成立。因為是四次方程,因而有根的總共24個可能置換。下面8個置換:
伽羅瓦預解式
伽羅瓦預解式
伽羅瓦預解式
伽羅瓦預解式都能使上述兩個關係在F中保持成立,並且這8個置換是24個置換中使根之間在域F中的全部代數關係都保持不變的僅有的變換。這8個置換就是方程在域F中的群,即伽羅瓦群。這是歷史上最早的“群”的定義。不過這不是抽象群的一般定義,它只是針對一個具體的群(置換群)所作的定義。但是,伽羅瓦正是利用這個“群”的定義解決了方程根式可解性問題。
接著伽羅瓦證明了當一個方程關於給定域的群恰是G時,方程的各個根都屬於這個域。因此,若根在域 F'''中,因F'''是通過將已知域F用逐次添加已知量得到的,所以可知根所在的這個域F,另外,還可用F'''中有理運算來直接找方程的根。
伽羅瓦給出了一個方法來找給定方程的群、逐次的預解式以及方程關於逐次擴大了的係數域的群,即原來群的逐次子群,而擴大的係數域是由添加這些逐次的預解式的根到原來的係數域而得到的。
通過這個方法,我們能從最初的域通過逐次添加根式過渡到根所在的最後的域。反之,如果一個方程能用根式求解,則預解式方程組必定存在,而且必定是二項方程。
影響
在伽羅瓦 的思想方法中,他引進了許多具有決定意義的概念,在此論述最為重要的一些內容。
一、“伽羅瓦群”概念的提出。假設由方程的係數生成的域記為F,E是方程的根域,它是將方程的根添加到F上所生成的擴域,稱之為伽羅瓦擴張。伽羅瓦注意到,每個方程的伽羅瓦擴張都可以與某一個置換群聯繫起來,這個置換群中的每個元素都是將伽羅瓦擴張中的元素置換到伽羅瓦擴張中的元素,並且保持 F 中的元素不變。我們將這些置換構成的群稱為伽羅瓦群。可以看出,對於任一個關於根的有理多項式函式,伽羅瓦群中的每個置換都使這個值不變;反之,若伽羅瓦群中的每個置換都使一個根的多項式函式的值不變,那么這個多項式函式是有理的。因此,一個方程的伽羅瓦群完全體現了它的根的整體對稱性。當時伽羅瓦正是發現並證明了這個充要條件,進而提出了現代課本中的“伽羅瓦群”這一重要概念的。
二、是“正規子群”和“可解群”的概念。當時伽羅瓦稱之為“真分解”,即群G的子群H叫作G的正規子群,是指對於每個g∈G,g Hg=H,記為H◁G。正是因為伽羅瓦弄清楚了正規子群的結構和性質,才使他建立代數方程根式可解性理論成為可能。
三、伽羅瓦注意到,每個方程是否可用根式解的關鍵,是這個方程係數所在的域F能否通過有限次添加根式而擴張成為根域E。在發現了這種域和群之間的對應關係以後,他便提出並且證明了方程存在根式解的著名判斷準則:域F上的一元n次方程有根式解的充要條件是方程的伽羅瓦群是可解群。這一準則稱為伽羅瓦判別定理,它所描述的域和群之間的對應在現代課本中稱為“伽羅瓦對應”。伽羅瓦正是發現了這種一一對應關係,並且利用這種對應關係才最終解決了代數方程根式可解性理論這一歷史難題。
名人介紹
伽羅瓦 (Galois,Evariste),法國數學家。生於巴黎郊區布拉倫(Bourg-la-Reine),卒於巴黎。幼時受到良好的親職教育。12歲入中學,在數學教師理察(Richard 1795—1849)指導下研究代數方程可解條件問題,17歲(1828年)高中未畢業便寫出了關於循環連分數及五次方程代數解法的論文。18歲(1829年)中學畢業,同年進入師範學校。他是法國資產階級革命的積極參加者,曾因此被開除學籍並兩次入獄。恢復自由後不久,因政治和愛情的糾葛,在一次決鬥中不幸身亡,年僅21歲。
伽羅瓦短暫的一生,為數學增添了全新的思想,如群、域概念發展成為了許多新的數學分支。特別是還發現了每個代數方程必有反映其特性的置換群存在,從而解決了多年不能解決的用根式解代數方程的可能性的判斷問題,創立了“伽羅瓦理論”,並為群論的建立、發展和套用奠定了基礎。也使他成為了19世紀偉大的數學家之一。
1830年與1831年,伽羅瓦寫出了兩篇關於方程論的重要論文,提交給了法國科學院,但因受權威壓制,未能發表。直到他死後14年,即1846年,法國數學家劉維爾(Liouville,J.)才發現他的遺作的巨大意義,將他的遺稿匯集出版。1870年,法國數學家若爾當(Jordan,M.E.C.)還根據伽羅瓦的思想寫出了《置換與代數方程》一書。
