代表值是通過公式計算出來的,利用標準 差及平均值。算出的 代表值應大於合格值,且每個數據都不能小於極值,才合格。
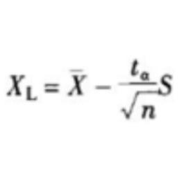
代表值厚度代表值為厚度的算術平均值的下置信界限值,即:
XL=X-ta*S/√n
式中:XL——厚度代表值(算術平均值下置信界限);
X——厚度平均值;
S——標準差(均方差);
n——檢查數量;
ta——t分布表中隨測點數和保證率(或置信度a)而變的係數,可查表求出。
厚度代表值=厚度平均值-{ta×(標準差)/(檢查數量的平方根)}
路面厚度代表值即為檢測數據計算得到的下置信界限,以此作為整體評定中優劣劃分的界限。高速公路路面厚度設計中代表值的允許偏差為5%,即,《公路工程質量檢驗評價標準》(JTG F80/1-2017)中對路面厚度代表值的規定為檢測厚度代表值不小於設計厚度的95%,(保證率係數95%,n>100時,ta=1.6449),然後以單點合格證計算合格率,代表值不合格直接評定為不合格。路面厚度作為關鍵項目其合格率不應低於95%(契約簽訂時間為2018.5月之前的按90%)。

