基本介紹
二階擬線性橢圓型方程
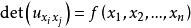
二階擬線性橢圓型方程二階擬線性橢圓型方程是關於二階導數為線性且其係數矩陣為正定的二階非線性偏微分方程,自變數 的函式 的二階擬線性偏微分方程
二階擬線性橢圓型方程
二階擬線性橢圓型方程
二階擬線性橢圓型方程
二階擬線性橢圓型方程
二階擬線性橢圓型方程
二階擬線性橢圓型方程
二階擬線性橢圓型方程
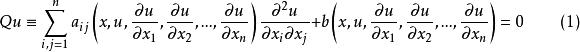
二階擬線性橢圓型方程,當其係數矩陣 對所有 ( 是 的一個子集)是正定的,則稱方程(1)在U中是 橢圓型的,即,如果用 分別表示 的最小和最大特徵值,那么
二階擬線性橢圓型方程
二階擬線性橢圓型方程
二階擬線性橢圓型方程
二階擬線性橢圓型方程
二階擬線性橢圓型方程
二階擬線性橢圓型方程
二階擬線性橢圓型方程
二階擬線性橢圓型方程對所有 和所有 成立,如果對於某正常數λ有 ,就稱方程(1)在U是 強橢圓型的,如果在U中 且 是一致有界的,則稱方程(1)在U內是 一致橢圓型的。若方程(1)在整個集 中是橢圓型(一致橢圓型)的,就簡稱方程(1)在Ω中是橢圓型(一致橢圓型)的,若存在一個可微向量值函式
二階擬線性橢圓型方程
二階擬線性橢圓型方程和一個數值函式 ,使
二階擬線性橢圓型方程即在(1)中
二階擬線性橢圓型方程
二階擬線性橢圓型方程則稱運算元Q及方程 是散度形式的。和線性方程的情形不同,具有光滑係數的擬線性微分方程未必可以表示成散度形式。
相關概念
非線性偏微分方程
非線性偏微分方程(nonlinear partial differential equation)是關於(某個)未知函式或未知函式的某階導數是非線性的偏微分方程,在非線性偏微分方程(組)中,如果含未知函式的偏導數的項都是線性的,就稱為 半線性偏微分方程(組);如果對未知函式的最高階導數是線性的,就稱為 擬線性偏微分方程(組);如果對未知函式的最高階偏導數是非線性的,則稱為 完全非線性偏微分方程(組)。例如,Δu=u 是半線性方程,極小曲面方程
二階擬線性橢圓型方程是 擬線性方程,蒙日-安培方程
二階擬線性橢圓型方程是完全非線性方程。
一階擬線性偏微分方程
基本介紹
一階擬線性偏微分方程(quasi-linear partial differential equation of first order)是一類特殊的一階非線性偏微分方程。關於未知函式的偏導數是線性的一階非線性偏微分方程稱為一階擬線性偏微分方程,一階擬線性偏微分方程通常可以寫成下列形狀
二階擬線性橢圓型方程
二階擬線性橢圓型方程
二階擬線性橢圓型方程
二階擬線性橢圓型方程
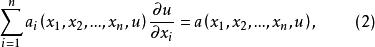
二階擬線性橢圓型方程其中 和 為 和 的已知連續可微函式,
二階擬線性橢圓型方程
二階擬線性橢圓型方程
二階擬線性橢圓型方程
二階擬線性橢圓型方程
二階擬線性橢圓型方程其幾何意義為,在 維空間中的每一點 給定了一個方向 ,曲面 在該點上的法方向
二階擬線性橢圓型方程
二階擬線性橢圓型方程
二階擬線性橢圓型方程與方向 正交,或者說,曲面 在該點與此方向相切。常微分方程組
二階擬線性橢圓型方程或
二階擬線性橢圓型方程
二階擬線性橢圓型方程稱為上述一階擬線性偏微分方程的 特徵方程。特徵方程的積分曲線,或向量場 的積分曲線稱為該一階擬線性偏微分方程的 特徵線。
求解問題
二階擬線性橢圓型方程
二階擬線性橢圓型方程
二階擬線性橢圓型方程
二階擬線性橢圓型方程
二階擬線性橢圓型方程假設在變數 的 維空間的某一區城D, 和 為其變數 的可微函式。
二階擬線性橢圓型方程
二階擬線性橢圓型方程已給變數 的任一函式,若此函式對這些變數都有偏導數,且能使方程(2)化為恆等式,則稱此函式為方程(2)的解。和線性方程一樣,可以把此解解釋為空間 中的曲面。
讓方程(2) 和下列線性方程
二階擬線性橢圓型方程相對應。
二階擬線性橢圓型方程
二階擬線性橢圓型方程
二階擬線性橢圓型方程
二階擬線性橢圓型方程
二階擬線性橢圓型方程
二階擬線性橢圓型方程定理1設 為方程(3) 的解,設方程 在變數 的區域G決定了某一可微函式 ,且設在G內 ,則 是方程(2) 的解。
二階擬線性橢圓型方程
二階擬線性橢圓型方程和線性情況不同,在擬線性情況,特徵線不在空間 ,而在空間 ,所以這時特徵線另有幾何意義,有下列事實。
二階擬線性橢圓型方程定理2每一積分曲面 按下述意義由特徵線組成:經過此曲面的每一點可引某一條完全位於其上的特徵線 。

