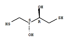
英文名稱:Dithioerythritol
英文別名:DTE;erythro-1,4-Dimercapto-2,3-butanediol;Dithioerythritol DTE
CAS編號:6892-68-8
EINECS號:229-998-8
分子式:C4H10O2S2
分子量:154.251
含量:99.0%(TLC)
InChI:InChI=1/C4H10O2S2/c5-3(1-7)4(6)2-8/h3-8H,1-2H2/t3-,4+
密度:1.302g/cm
分子結構式沸點:364.5°C at 760 mmHg
閃點:174.2°C
水溶性: soluble
性狀:白色結晶,易溶於水。
重金屬(以Pb記):≤5PPM
儲存:2-8℃溫度儲存
用途:生化研究中還原巰基或二硫鍵的試劑。
