基本信息
1 商品代碼:HCM402
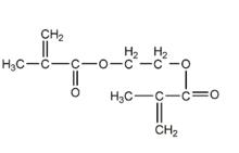
2 商品英文名稱:Ethyleneglycol dimethacrylate
簡稱:EGDMA
又稱:交聯劑G、乙二醇二甲基丙烯酸酯
3 CAS:97-90-5
4 化學式:C10H14O4 ;CH2=C(CH3)COOCH2 CH2OCOC(CH3)=CH2
套用領域
二甲基丙烯酸乙二醇酯主要用作塑膠、橡膠工業,用作乙烯-丙烯酸共聚物,ABS,丙烯酸片材、管材,玻璃纖維增強聚酯,PVC,離子交換樹脂,無煙粉末包裹聚合,上釉等的交聯劑,有其參與共聚的聚合物,硬度增加,耐熱、耐候、耐溶劑和摩擦性提高,另外還用在人造大理石、牙科材料、乳液共聚物、造紙、橡膠過氧硬化改性劑、粘合劑、油墨、光學聚合物的交聯劑。
物化性質
純 度: ≥99.0% (GC)
二甲基丙烯酸乙二醇酯酯含量: ≥99.5% (GC)
酸 值: ≤0.03% (以甲基丙烯酸計)
水含量: ≤0.03%
色 度: ≤50 (Pt-Co)
阻聚劑★: 100±5 ppm MEHQ (HPLC)
★:可根據客戶需求改變阻聚劑含量
7 產品物性數據
外 觀: 無色透明液體
分子量: 198.2g/mol
密 度: 1.051g/cm3 (20℃)
折射率: 1.455(20℃)
沸 點: 240℃ (101.3kpa)
熔 點: -20℃
閃 點: +101℃
粘 度: 3.2mPa.s(20℃)
溶解性: 0.50%(酯在水中的溶解度)(20℃)
8 包裝、運輸和儲存
8.1 鋼桶,淨重200kg,或用不鏽鋼容器。
8.2 運輸中應防曬、防雨、防高溫。
8.3 產品應儲存於陰涼、避光、通風處,遠離火源。在30℃下產品的儲存期6個月。
9、質量指標
指標名稱 優等品 一等品 合格品
外觀 無色透明液體
EGDMA的質量分數(皂化法)/%≥ 99.0 98.0 96.0
機械雜質 無 無 無
編號系統
CAS號:97-90-5
MDL號:MFCD00008590
EINECS號:202-617-2
RTECS號:OZ4400000
BRN號:1776663
PubChem號:24845598
物性數據
1. 性狀:無色液體。
2. 密度(g/mL,25℃):1.054
3. 相對蒸汽密度(g/mL,空氣=1):未確定
4. 熔點(ºC):-20
5. 沸點(ºC,常壓):97
6. 沸點(ºC, kPa):未確定
7. 折射率:1.4522
8. 閃點(ºC):>110
9. 比旋光度(º):未確定
10. 自燃點或引燃溫度(ºC): 未確定
11. 蒸氣壓(mmHg, 21.1ºC):<0.1
12. 飽和蒸氣壓(kPa, 20ºC):未確定
13. 燃燒熱(KJ/mol):未確定
14. 臨界溫度(ºC):未確定
15. 臨界壓力(KPa):未確定
16. 油水(辛醇/水)分配係數的對數值:未確定
17. 爆炸上限(%,V/V):未確定
18. 爆炸下限(%,V/V):未確定
19. 溶解性:不溶於水,溶於部分有機溶劑。
毒理學數據
1、急性毒性:大鼠經口LD50:3300mg/kg;
大鼠腹膜腔LD50:2800mg/kg;
小鼠經口LD50:2mg/kg;
2、致突變性:在哺乳動物軀體細胞中突變實驗:小鼠淋巴細胞,5820μmol/L;
生態學數據
該物質對環境可能有危害,建議不要讓其進入環境。
分子結構數據
1、 摩爾折射率:51.06
2、 摩爾體積(cm3/mol):190.3
3、 等張比容(90.2K):449.8
4、 表面張力(dyne/cm):31.1
5、 介電常數:
6、 偶極距(10-24cm3):
7、 極化率:20.24
計算化學數據
1、 疏水參數計算參考值(XlogP):1.9
2、 氫鍵供體數量:0
3、 氫鍵受體數量:4
4、 可旋轉化學鍵數量:7
5、 互變異構體數量:
6、 拓撲分子極性表面積(TPSA):52.6
7、 重原子數量:14
8、 表面電荷:0
9、 複雜度:237
10、同位素原子數量:0
11、確定原子立構中心數量:0
12、不確定原子立構中心數量:0
13、確定化學鍵立構中心數量:0
14、不確定化學鍵立構中心數量:0
15、共價鍵單元數量:1
安全術語
1.避免皮膚接觸。
2.戴適當手套。
風險術語
1.刺激呼吸系統。
2.與皮膚接觸可能致敏。

