曲面介紹
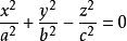
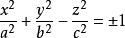
二次錐面 二次錐面(quadric conical surface)亦稱“橢圓錐面”,錐面的一種。空間直角坐標系中由方程
二次錐面 所表示的曲面。原點是頂點;z=C平面上半軸為a和b的橢圓可取作為準線。z軸稱為“主軸”。若a=b,便是圓錐面。二次錐面的平面截線有橢圓、雙曲線、拋物線和一對相交直線。這個二次錐面也是兩個雙曲面
二次錐面 的“漸近錐面”,即它在無窮遠處與這兩個雙曲面無限接近。
截平面
平面
二次錐面 與二次錐面
二次錐面 相交於一條平面曲線,這樣的曲線叫二次錐面的平面截線,而上述平面叫二次錐面的截平面。若該平面截二次錐面於兩條重合的直線,則該平面成為二次錐面的切平面。有以下結論。
定理1,平面(2)與二次錐面(1)相切的充要條件是
二次錐面 定理2,平面(1)截二次錐面(2)於一條無心曲線的充要條件是
二次錐面 定理3,平面(1)截二次錐面(2)於一條有心曲線的充要條件是
二次錐面 定理2和定理3是定理1的直接推論。
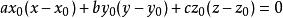
二次錐面 定理4,一平面截二次錐面(2)於一條有心曲線,該曲線中心為 ,M非原點,則該截平面的方程是
二次錐面
二次錐面
二次錐面 定理5,設點 滿足 ,並且二次錐面(2)過點M的切線存在,則以點M為頂點的二次錐面(2)的切線軌跡,即切錐面的方程時
二次錐面 二直線夾角
二次錐面 二次錐面(2)上兩條直母線必在其頂點處相交,它們確定一個通過原點的平面,故二次錐面(2)上兩條直線總可以用方程
二次錐面 給出。
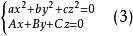
設方程(3)表示的直線的方向數是X:Y:Z,則
二次錐面
二次錐面 不失一般性,設,則
二次錐面
二次錐面
二次錐面
二次錐面
二次錐面 由方程(4)求得二解和,則二直線的方向數是和,從而可求得由方程(3)表示二直線的夾角。

