簡介
二元周期序列是一種特殊的序列,即只取兩個非0數值的周期序列。
二元周期序列
二元周期序列
二元周期序列
二元周期序列設序列為 ,若存在正整數t,使 成立,則稱序列為二元周期序列,並稱滿足 式的最小正整數t為序列的周期。如果有正整數l,使 ,則t|l。
自相關值
二元周期序列
二元周期序列
二元周期序列
二元周期序列
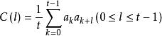
二元周期序列設序列 的周期為t,記 ,則稱C(0)=1為序列 的自相關主值,稱 為序列 的自相關非主值。
二元周期序列
二元周期序列若定義 ,如果C很小,則稱序列是自相關良好的序列。取值為±1的自相關良好的周期序列,在數字通信中有重要套用。
二元周期序列
二元周期序列設p為奇素數,且定義序列中的,則有C≤3/p。按照定義的序列稱為二次剩餘序列。當p較大時,它也是一個自相關良好的序列。
套用
一個二元周期序列若滿足以下三個條件:
1、周期很長;
2、一個周期中0和1的個數大約各占一半,並且它們在周期中的分布不能集中,而是看上去像是隨機的。確切的說,就是在一個周期中相鄰兩數字00,01,10和11出現的頻率也比較平均,八個相鄰三位數字000,001,010,011,100,101,110,111在一個周期中出現的也比較平均;
3、自相關性能好。
則我們稱這個二元周期序列偽隨機性好。
統計分析理論表明:序列的自相關非主值愈小,表明周期中各位數字彼此不相關。不僅是相鄰數字之間,而且不相鄰的數字也關係不明顯。所以,自相關良好的序列不僅用到通信同步問題上,也是保密的密鑰序列所需要的。
