簡介
主軸變換是用於化簡二次曲面方程的一種轉軸變換。
選取與二次曲面的互相正交的三個主方向作為新坐標軸的方向,這種由舊直角坐標繫到新直角坐標系的轉軸變換稱為主軸變換。
方程
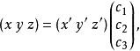
設主軸變換為
主軸變換即
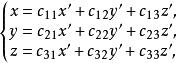
主軸變換
主軸變換
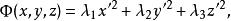
主軸變換式中向量 的方向就是主方向,它滿足 ,則二次曲面的方程中二次項部分
主軸變換經主軸變換可化簡為
主軸變換式中,λ,λ,λ 是特徵根。
二次曲面
一般說來,直線與二次曲面相交於兩個點;如果相交於三個點以上,那么此直線全部在曲面上。這時稱此直線為曲面的母線。如果二次曲面被平行平面所截,其截線是二次曲線。通常,我們將 三元二次方程所表示的曲面稱著二次曲面。平面叫做 一次曲面。

