介紹
中桁材是位於船底中縱剖面處、連線平板龍骨和內底板的縱向連續構件。是雙層底結構中的重要構件,俗稱豎龍骨。一般為船舶橫骨架式或縱骨架式雙層底結構的結構組件。
套用
橫骨架式雙層底結構
圖1橫骨架式雙層底結構為機艙部位的橫骨架式雙層底結構(圖1),它由底板、內底板、中桁材、旁桁材、肋板等構件組成,這種結構一般套用在中小型船舶上。
中桁材是重要的縱向強力構件,除在首尾端可以間斷外,在船舶中部都是連續的。中桁材通常為水密結構,可減輕雙層底艙內自由液面的影響。旁桁材則在肋板處間斷,其上開有人孔或減輕孔,上緣的通氣孔和下緣的流水孔可供空氣和液體流動。肋板是設在每一個肋位的底橫向構件,對保證船體的橫向強度和局部強度起重要作用。肋板分水密肋板、開有人孔或減輕孔的實肋板以及由鋼板和型鋼製成的組合肋板三種。水密肋板將雙層底艙分隔成不同用途的各類液艙。
縱骨架式雙層底結構
圖2大型乾貨船、散裝貨船、貨櫃船和油船的中部均採用縱骨架式雙層底結構(圖2)。強度相同時,其結構重量小於橫骨架式。數量較多的底縱骨和內底縱骨在水密肋板處斷開,並用肘板與之連線。
近年來,大型船舶雙層底中部多採用箱形中桁材以代替普通中桁材。兩平行桁材構成的箱形結構作為各種管路的通道,俗稱管弄。
船底板架計算
圖3船底一般都是由多根交叉構件和很多主向梁組成的板架。對於縱骨架式板架,主向梁(實肋板)承受肋板間距範圍內的荷載,交叉構件只承受節點反力;對於縱骨架式板架,荷載通過縱骨傳給實肋板,交叉構件也只承受節點反力。如圖3所示。
多根交叉構件板架的計算可採用船舶結構力學中介紹的近似方法——主向梁節點撓度選擇法。若構件不等間距、不等截面或某些構件加強,手算就比較困難,往往作些近似簡化處理。如採用有限元法計算,則不存在任何困難。
船底板架由於其結構強大,又比強力甲板靠近船體剖面中和軸線,因此在船體中拱變形時船底板架不易失穩,其主要矛盾是強度問題。
中桁材對於艙長很短的船底板架(例如,艙長與板架計算寬度B之比小於0.8時),為確定這種板架中桁材的彎曲應力,可將中桁材當作單跨梁處理。現分析如下:
如果把船底板架當作組合板且認為是各向同性的,則板架中桁與平板的中央板條梁相當。在下表中列出了不同邊長比值時,各向同性板的彎矩與板條彎矩的比值。
中桁材從上表所列數值可知,邊長比越小,彎矩比值大,亦即將中桁材當作單跨處理引起的誤差越小,而且是偏於安全方面的誤差。因此,在初步校核船體強度時,對邊長比小於0.8的板架可以採用單跨的計算公式,即
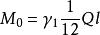
支座剖面處彎矩:
中桁材
中桁材跨長中點處彎矩:
對比邊長比≥0.8的板架,可以按照下述公式近似計算。
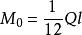
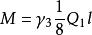
(1)中桁材的彎矩。
中桁材在支座剖面處:
中桁材在跨長中點處:
中桁材
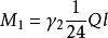
中桁材(2)中央肋板在中桁材處彎矩。式中:Q——作用在中桁材上的荷載,;
中桁材Q——作用在肋板上的荷載,;
q——板架的荷載強度;
c——縱桁間距;
中桁材——縱桁跨度;
a——肋板間距;
B——肋板跨度;
中桁材——係數,由板架長寬比及中桁材的慣性矩之比決定,見下表。
中桁材
