原理簡介
傳統熱計量技術理論上是可以對單戶進行能量計算的,只要得到溫度差,熱載體的流量便可計算出用戶的能量使用量。但是,由於該理論對計量流量的流量計,溫度計的精度非常苛刻,而且積分方程中,溫度和流量是關鍵的參數,因此,在統計方面存在著兩難的尷尬局面:一難,精度不高的設備,計量不精確,數據依據不科學;二難,高精度計量設備費用高昂,不易於廣泛推廣。
空調計費系統1997年提出的中央空調計費系統從系統的角度,看待中央空調使用量的計量,在結合傳統熱計量理論的基礎上,提出了當量能量理論,即用時間當量去換算中央空調使用量,從而實現中央空調計費系統的推廣。
中央空調時間型計費系統
1、時間型計費原理介紹
將時間型採樣器與風機盤管和溫控器相連線,採樣器實時對電動閥狀態進行檢測,在獲得電動二通閥開通信號的同時,檢測風機盤管高、中、低檔的工作狀態,並自動累計各檔位的有效運行時間。通過通訊管理器將信號傳至空調計費儀,空調計費儀與中央工作站通訊,進行資料庫管理,實現抄表收費、控制管理的功能。系統以用戶使用空調的有效當量時間為依據進行收費,實現“多用多出,少用少出”的收費目的。以上的計量是在中央空調系統有效運行的情況下進行的。如果空調系統不運行,則不計費。如下的系統流程圖:
中央空調計費系統當系統提供製冷(或制熱),且用戶電動閥打開,用戶風機盤管有效運行時,開始計費。用戶使用有效當量時間為:
T總=K時段×K盤管×(K高×T高+ K中×T中+ K低×T低)
其中:
T總: 風機盤管的總當量時間,單位h
K盤管:各盤管的製冷制熱盤
K高:風機盤管高檔的檔位係數
K中:風機盤管中檔的檔位係數
K低: 風機盤管低檔的檔位係數
T高:風機盤管高檔的有效使用時間
T中:風機盤管中檔的有效使用時間
T低: 風機盤管低檔的有效使用時間
K時段:分時段係數
中央空調計費系統2 、系統組成
聯網型溫控器
時間型採樣器
數據採集器
數據交換機
計算機及套用軟體
3 、時間型計費系統適用範圍
適用於寫字樓、高級公寓、高級生活小區、分租商鋪等以分戶計量的場所。
中央空調能量型計費系統
1 、能量型計費系統介紹
“流量”ד溫差”能量型計費方式,是一種目前被國際上認可的、符合中華人民共和國城鎮建設行業標準和中華人民共和國計量檢定規程要求的一種計量方式。
能量型計費系統通過測量流過用戶端的冷凍水(或熱水)溫度和流量來計算用戶所消耗的能量。通過計量流量大小(即流速與管道大小),以及進水、回水的溫差來計算能量的耗損。只要進水、回水的溫差為零,系統就不會計費,體現了良好的可信度、準確度。
依據熱力學“熱交換”原理,通過能量“積算儀”對用戶使用中央空調過程中交換的“熱量”進行累加,實現對中央空調的分戶計量,進而按使用的“熱量”比例對總費用進行科學合理分攤的計費形式。該系統可以有效減少空調使用能耗,使中央空調的運行管理更加科學、合理、規範。
“能量型”計費方式,主要用於大型公建、商場、酒店、會所、展廳、場館、工廠等需要進行分區域(計量區域的管徑為DN50或DN50以上)、分層計量等以分區域計量的場所。
2 、系統特點
l 熱量學熱交換原理為依據,科學合理。
l 電子系統,外界干擾影響小,使用壽命長。
l 使用無運動部件流量計,計量更加準確。
l 採用四線制高精度配對溫度感測器。
l計量精度高,設備造價相對較高。
3 、系統原理
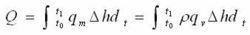
“能量型”計費系統根據熱力交換原理,對熱交換系統中載能介質(液體水)的出口溫度T1、入口溫度T2及瞬時流量q進行實時測量,並按照熱力學能量計算公式,對系統消耗的冷量或熱量值進行計算。當T1大於T2時,對冷量進行積算,而當T1小於T2時地熱量進行積算,並將冷量和熱量保存。
計算公式如下:
中央空調計費系統式中:
l Q--釋放或吸收的熱量 (J或wh);
l qm--流經能量表的水的質量流量(kg/h);
l qv--流經能量表的水的體積流量(m3 /h);
l ρ--流經能量表的水的密度(kg/ m);
l Δh--在熱交換系統的入口和出口溫度下,水的焓值差(J/kg);
l t--熱交換的時間(h)。
中央空調計費系統特點
中央空調計費系統管理軟體是一套基於WINDOWS平台的中文管理軟體。通過該軟體,可以實時檢測中央空調系統的運行情況,方便物業公司對中央空調系統進行收費與管理。一般計費系統主要有以下特點:
計費功能
根據抄表的數據及收費項目的設定,計算用戶的空調使用費,並輸出及費單。計費單報表格式可以按照用戶要求自定義輸出。計費數據可以導出為多種格式的檔案輸出。
實時監測
適時全面監控用戶的使用情況,具備完善的日誌查詢功能,對故障進行報警。
智慧型化管理
統計中央空調的使用率。可以繪製出某段時間的使用曲線及統計某段時間的用量,為空調系統的管理提供科學、詳實的數據信息。
集成化控制
方便適用的批量操作,可以實現參數的設定和修改,輕鬆的遠程集中控制等功能。特別是對欠費用戶,上位軟體可以發出指令停止其使用空調。
分時段計費
根據大樓的實際使用情況,可以按照不同的時間段按照不同的比例係數自動抄表和計算中央空調使用費。
預付費功能
即先交費後使用,欠費禁用空調,適用於部分型號產品。
集中抄表
通過上位軟體可以對計費終端進行遠程抄表。根據設定的各項計費參數自動對抄表數據進行計算和統計。
擴展功能
OPC接口,方便系統集成。
查詢功能
可以查詢系統各末端的用量及歷史運行狀態,查詢方便、快捷,也可網路查詢。
理論發展
中央空調計費系統的發展
自中央空調發明運行以來,對中央空調的使用收費是一直困擾著業界專家的問題之一。在未採用計量技術時期,國外普遍採用按面積分攤收費的方式進行收費。到了20世紀70年代,由於石油危機的出現,隨著人們認識到節約能源的重要性,節能技術和設備隨之得到迅猛發展。在推廣供熱計量技術過程中,如何選擇計量方式從而達到節能目的,並提高經濟效益的目的,成為中央空調收費的熱點問題。
冷熱計量在國外套用時間當量較長,是比較成熟的技術;而在國內改革開放後,中央空調才發展了約二十餘年,中央空調冷量計量收費技術是新興的技術領域,選用計費方法時既要考慮計量的準確性--合理公平,又要考慮投資的經濟性--能夠廣泛套用。國內廣泛套用的“按面積”平均分攤的計費方式雖然簡單方便、零成本,但無準確性而言,純屬一種簡單的算術平均的分攤方法,不能滿足用戶對計費合理性的需求。在此形勢下,國內的冷、熱計量技術也受到了廣泛的重視,業內暖通專家提出了一系列的計量費用分攤方法並被套用到中央空調計費系統中。至今,國內空調計費先後經歷了用“電錶計量”、“水錶計量”、“熱能表計量”等收費方式,但這些計量收費方法都存在著或多或少的缺陷,都未能徹底解決空調計量收費“合理性”的問題。
中央空調計費系統發展現狀
按照國家節約能源法的要求,生活用能必須計量向用戶收費。這是社會主義市場經濟要求的一項重大改革,是促進建築節能工作的一項根本措施。然而從中央空調在國內出現至今,中央空調分戶計量的問題一直困擾著國內專家。而這一問題也成為供冷計量的一大難題。
1.傳統不合理的中央空調分戶計量方式,分戶計量收費無從談起
中央空調分戶計量技術在國內發展過程中,出現了諸如電錶計量、水錶計量、按面積計量等分戶計量方式。由於這些計量方式存在不科學,不合理,不公平的問題,使中央空調分戶計量形同虛設,甚至適得其反。就拿中央空調“按照使用面積進行分攤”來說,導致中央空調使用“用多用少一個樣,用與不用一個樣”的“大鍋飯”局面,體現不出按中央空調“使用量”進行公平收費的原則,甚至大有提倡浪費消費的嫌疑。因此,在國內消費觀念還不成熟、人們整體節能意識薄弱的情況下,不合理,不科學的分戶計量方式無助於社會節能,並有害於社會節能。
2.科學的中央空調分戶計量方法造價高,
制約其廣泛套用於分戶計量。
採用能量熱交換原理進行分戶計量的方式,是通過計量戶用能量進行分戶計量的方法。這種方法有科學依據,是最科學的計量方式。然而,由於精確的熱計量方式對用於採集溫度差和瞬時流量的設備(配對溫度感測器、流量計)的精度要求非常高,因此精確熱計量方式設備成本相當高。同時,由於國內空調系統水質等外界因素的影響,這就直接制約了中央空調熱計量分戶計量方式的廣泛運用。
3.時間型中央空調分戶計量系統的出現,得到迅速的套用。
分戶計量是手段,中央空調費用分攤是目的,分戶計量收費的結果是促進社會節能。通過用戶使用中央空調的時間反映該用戶使用中央空調當量能量的計量方式,在1997年在佛山市艾科電子工程有限公司誕生以來,就得到了得天獨厚資質,得到迅速發展。這種方式通過採集中央空調運行狀態,風機盤管運行狀態,二通閥運行狀態等數據,通過轉換係數,得出用戶使用中央空調的使用時間,從而轉換成用戶使用中央空調能量比例,實現分戶計量,最終進行費用分攤。這種計量分攤技術用簡單、合理、公平、科學的方法實現了中央空調分戶計量和費用分攤。由於這種分攤技術造價相對較低,而且不與空調水系統發生關係,只限於電子控制系統的改造,因此非常適合於舊樓的中央空調分戶計量系統改造。特別適合於以風機盤管為末端的中央空調系統的分戶計量。因此,這種分戶計量系統一經推出,受到了業界廣泛關注,得到了迅速的發展。
中央空調計費系統選型
隨著中央空調計費的市場需求越來越大,相關的廠家的逐步增多,目前市場還不是一個成熟的市場,,國家也沒有相關的法規去規範這個市場,,難免有一些魚目混珠的現象出現,,建議在選擇選型時要考慮以下幾點:
(1)、該廠家是否為專業做中央空調計費系統的廠家;有些廠家並不是專業做中央空調計費系統的,,而是以附帶產品進入工程,在整個項目中讓利給甲方,但到後期收費維護時由於經驗不足,難免會出現問題並且不能自主解決,由於收費涉及到業主利益問題,極易產生糾紛,所以在選擇廠家時需要考察。
(2)、查廠家是否有《中華人民共和國製造計量器具許可證》和《中華人民共和國計量器具型式批准》,此為關鍵一點,沒有此證,則沒有資格生產計量器具,產品則不是合法性產品。
(3)、選擇好品牌後,要看選擇的產品型號是否有相對應的《計量器具樣機試驗合格證書》,有些廠家有製造計量器具許可證,但有些產品型號沒有經過計量器具質量單位監督檢驗,這是國家計量檢定機構對該項計量產品的檢驗內容及是否合格的評價結果。
(4)、工程套用上,時間型計費點要不少於5項計費點在1000個以上的項目正常運行2年經上的項目,該品牌比較可靠;
(5)、建議考察項目時可以自行考察,聽取用戶的意見,更為真實了解項目的運行情況。
計費方式
一、前言:
中央空調一般是以水為介質,將能量在用戶末端和能量中心進行交換以實現集中供冷(或供熱)的空氣調節系統。集中供能分散使用是中央空調區別家用空調的主要特徵。既然中央空調是集中供能和分散使用,如果分散使用的付費主體不同,就要涉及到費用分攤的問題,故本文著重對中央空調的幾種計費方式進行探討.
中央空調最簡單的收費方式是按面積分攤或包乾,它源於計畫經濟中集中供暖時的暖氣收費,這也是最浪費能源和最不公平的收費方式,因其與市場經濟規則的背離,導致收費矛盾激化時有發生。對中央空調實行分戶計量、按量收費,充分體現“誰消費誰出錢”和“用多少能源出多少錢”的能源商品化的基本屬性,具有以下意義:
1、分戶計量、按量收費,公平合理!
2、促使用戶主動節能,培養節能習慣,利國利民!
3、降低運行費用,延長主機壽命,實現業主與物業共贏!
4、實現系統的主動、被動節能,提高物業管理水平。
能量“商品化”,按量收費是市場經濟的基本要求。中央空調要實現按量收費,必須有相應的計量器具和計量方法,按計量方法的不同有以下幾種方式:
1、直接計量“水土不服”
直接計量形式的中央空調計量器具主要是能量表。目前,大家了解到的中央空調的計量只有在近二年暖氣計量中發展起來的能量表這一種計量器具。因暖氣的巨大溫差與中央空調小溫差存在較大差別,所以計量暖氣用的能量表(精確度3-95℃)不能滿足中央空調的計量精度(0.5℃)要求。並且能量表成本太高(最小型號DN20的就在1000元左右),套用中需要對空調系統設計作出變更,安裝中易造成測溫不準引起人為誤差,對中央空調系統的水質要求較高,使用中容易發生髒堵,受潮等故障,這些都不利於能量表的套用推廣。
根據能量守恆原理,中央空調對空間的熱交換量與其介質中的能量變化量相等,能量表就是通過直接計量中央空調介質(冷凍水)的能量變化量來實現對中央空調的量化的,其工作原理是依據物質的熱交換能量計算熱力學公式Q=∫cΔTV=∫c(T2-T1)qt。(能量表)由帶信號輸出的流量計、兩隻溫度感測器和能量積算儀三部分組成,它通過計量中央空調介質(冷凍水)的某系統內瞬時流量、溫差,由能量積算儀積分計算出系統的熱交換量。
這種中央空調計費方式原理明確,結果直觀,易於理解。由於它要計量多個參數,特別是中央空調系統的大流量小溫差環境,對能量表的溫差的精度要求較高,所以其生產成本較高,同時改變中央空調的系統設計和要求水質,普遍採用受到制約,主要用在分層、分區的中央空調計費上。
有些熱量表生產廠商將其暖氣表的能量積算儀上加“取正”功能後就認為可以用在中央空調的計費上,這是一種誤解。暖氣和中央空調計量原理雖相同,但實際套用環境不一樣:暖氣是通過調節水流量來調節熱交換量的,屬小流量、大溫差環境,其進、回水溫差在35℃左右,對流量精度要求較高而溫差精度要求較低,所以熱量表標準溫差精度在3-95℃;中央空調未端是定流量,小溫差系統,它是通過調節風速來改變熱交換面積,從而達到調節熱交換量之目的!因此其對流量精度要求較低而溫差精度較高,因中央空調的進、回水標準溫差是5℃,如果允許1℃的誤差,在一個裝有6颱風機盤管的家庭開一台時,已不能滿足計量要求。因此用於中央空調計費的能量表溫差精度應在1℃以下。現在暖氣熱量表溫差精度多在2-3℃,價格已在千元,要其達到計量中央空調的溫差精度成本將更高。所以,目前以能量表來實現中央空調的計費技術雖比較成熟,但其套用成本太高而並未被商家看好和消費方接受。
2、用水錶、電錶進行中央空調計量收費的方式是不合理的!
在中央空調直接計費因價格高昂和套用不便而無法為用戶所接受,又出現了一些看似簡單、便宜的間接計費方法。比如:電錶計費,水錶計費等。
電錶計費就是通過電錶計量用戶的空調末端的用電量作為用戶的空調用量依據來進行收費的;如按電錶計量收費:中央空調系統中的製冷主機、水泵、管道均可不裝!只要有電,用戶打開室內風機盤管,就必定計量收費!能量中心的空調主機即使不運行或乾脆沒有空調主機,只要用戶空調末端打開都有計費,
熱水錶計費就是通過熱水錶計量用戶的空調末端用水量作為用戶的空調用量依據來進行收費的,按此方法:中央空調系統中只需配備水系統的水泵、管道、室內風機盤管就行了,什麼製冷主機、風機盤管電源都可以不用,啟動水泵熱水錶就有計量收費!
因此,無論水錶、電錶進行中央空調的計量收費,都不能真正反應空調“量”的實質,中央空調的要計的“量”是消耗的能量(熱交換量)的多少,出現這種顯然是不合情理的荒誕結果也是必然現象。
3、未端開關時間計費法沒能保證 “時間量”與中央空調“冷量”的必然聯繫,重蹈水錶計費、電錶計費的覆轍
在水錶計費、電錶計費這一明顯不合情理且又無奈之中不得不暫時採用的情況下,尋找一種符合國內中央空調套用情況且又經濟實用的中央空調計量收費方法成為行業內的有識之士的不懈追求,按人們最熟悉的時間收費似乎是一種最佳方案,然而找出時間與中央空調“量”與“質”的關係中,一些電子行業出身的人士卻失之簡單,沒有抓住中央空調“量”的實質,計量的僅僅是中央空調未端風機盤管開關的時間量,卻不能實質保證這種“時間量”與中央空調“冷量”的必然結果,按這種“時間量”進行中央空調收費又回到了只要運行風機盤管,沒有主機或系統就計量收費的怪事!落到與水錶計量、電錶計費同樣的境地,這也就不用奇怪為什麼國家計量主管部門只給這些廠家頒發“計時器”的《製造計量器具許可證》而不是中央空調計費系統的!(因為其執行的就是《電子時鐘計時器器標準》)
4、當量能量計量法 中央空調要計量的“量”既不是水量,也不是電量,更不是時間量,而是中央空調介質水中攜帶的能量(冷量或熱量)的變化量。
中央空調計量收費就是將中央空調的“能量”商品化,而商品的價格取決於商品內在的“質”和外在的“量”,而〖水錶、電錶、未端開關時間計費法〗計費方式只計量了中央空調末端的外在的“量”,卻忽略了中央空調內在的“質”, 用戶的空調未端使用“用電量”、“用水量”或“開關時間量”並不等於用戶所消耗的“用冷量”,所以出現了不合情理的結果,必然造成收費糾紛;因而這些中央空調計費方式被市場所淘汰也在情理之中。
CFP系列中央空調計費系統(有效果計時型)根據中央空調的套用實際情況,首先檢測中央空調的供水溫度,只有在供水溫度大於40℃(採暖)或小於12℃(製冷)情況下才計時(確保中央空調“有效果”),然後檢測風機盤管的電動閥狀態(無閥認為常開)和電機狀態(確保用戶在“使用”)進行計時(計量的是用戶風機盤管的“有效果”使用時間),但這僅僅是一個初步數據,還得利用計算機技術、微電子技術、通訊技術和網路技術等,通過計費管理軟體以這些數據為基礎進行合理的計算得出“當量能量”的付費比例,才能作為收費依據。
CFP系列中央空調計費系統是最新一代以風機盤管為計費對象的中央空調計量器具,它是鄭州春泉暖通節能設備有限公司首創的“有效果” 計費原則和“時間計費”法的結晶,包括CFP計費器、CRS485-D區域管理器、CJ-Wxp管理軟體和CJ-3000計費主機四部分。
根據物質的熱交換能量計算熱力學公式Q=∫cΔTV=∫c(T2-T1)qt,中央空調風機盤管的流量q基本是定值,時間t我們可以通過計時器計量,溫差(T2-T1)是技術的關鍵點。物質的熱交換有傳導、對流和輻射三種方式,中央空調風機盤管的熱交換主要是通過傳導來實現的,不存在對流,並且輻射也可忽略不計,傳導量與溫差和換熱面積成正比,風機盤管的換熱面積又與風量v成正比。在標況(供水溫度T1=7℃;回水溫度T2=12℃)下,中央空調風機盤管的熱交換量計算公式Q=∫cΔTV=∫c(T2-T1)qt可變為Q=∫Xvt,(v:風速係數;X:型號能力係數;t:使用時間)。根據模糊理論,我們將供水溫度T1≤12℃(製冷)或T≥40℃(採暖),基本能滿足用戶正常使用要求的情況作為有效計量收費;供水溫度T1>12℃空調使用效果較差的時間作為損耗進入成本,不收取用戶費用,這就是“有效果”計費原則。通過計量中央空調風機盤管各檔位在“有效果”條件下的運行時間(閥開檔位運行的時間)按W=∑Pi*ti計算出每一颱風機盤管消耗的當量能量,當量能量單價等於總成本除以計量出的總當量能量,這樣每一個用戶的應交納的中央空調費用就可以按消耗的當量能量乘以單價得出。就如1KW的電爐,用1小時就是1度電,但其前題是電壓在220V±5%範圍內,這個±5%就是基本能滿足用戶正常使用要求的“有效果”範圍,如果電壓超過±5%這一範圍,用戶電器就沒法正常工作。
CFP系列中央空調計費系統不僅計量了中央空調的“量”(用戶使用時間),關鍵在於計量的是中央空調的“質量”(有效果時間)!較好的解決了中央空調計費的合理性,確保作為商品的中央空調“用冷量”具有實用性,滿足用戶正常使用要求,較好的保障了用戶的權益;同時其將供水溫度T>12℃或T<40℃,空調使用效果較差的時間作為損耗處理,費用計入中央空調運行成本,符合物業管理收費原則。
CFP系列中央空調計費系統具有良好的適用性,對於中央空調系統的設計、安裝無任何特殊要求,較小的投資成本滿足了用戶的需求,已廣泛套用於以風機盤管為末端的住宅樓、寫字樓中。該系統具有對用戶的空調進行計費、查詢、欠費禁用等管理功能。
關於CFP系列中央空調計費系統的誤差影響因素主要是中央空調系統的水流不平衡和風機盤管的換熱功率偏差不一致,而這一部分正是我們的中央空調設計人員的進行專業設計的核心內容。CFP型中央空調計費方式是間接計量、當量分攤機制實現中央空調的計量收費的!CFP系列中央空調計費系統的計費誤差經過系統內二次分攤後已達到中央空調計量精確度要求。2002年CFP系列中央空調計費系統取得國家計量器具型式批准和計量生產許可證,是國內第一個經國家主管部門批准中央空調專用計量器具。
二.總結
綜上所述,值得推薦的兩種計量方式為直接能量計量(能量表)和CFP當量能量計量,又根據它們的特點不同,前者適用於分層、分區等大面積計量,後者適用於辦公樓、寫字樓、酒店、住宅樓等小面積計量。
管理建議
作為涉及到公平合理的,列入國家許可證管理體制的計量器具,主管部門應該依據《計量法》、〈產品質量法〉、〈消費者權益保護法〉等國家現行法律體制下加強監管和處罰力度,引導市場沿正確軌道發展。作為樓盤開發商或系統集成商在選用這類產品時應注重以下幾個方面:
1、查驗廠家資質,特別是計量許可證,看其是否有計量許可證及其內容是否為中央空調計量器具,
2、拒絕替代計量器具,對用戶和自己負責。
3、查驗計量標準看其是否達到計量要求。
