定義
數據信號的畸變有規則畸變和不規則畸變兩種。信號波形按一定的法則有規律地發生代碼畸變叫做規則畸變;無規律地發生代碼畸變叫做不規則畸變。
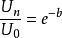
不規則畸變是由對通路或設備有影響的偶發因素所引起的時間畸變。這種時間畸變使得對任何特徵瞬時的單個畸變度都不能預測,所以不規則畸變的產生沒有一定的規律,純屬偶然,故又稱為偶然性畸變。不規則畸變主要是由干擾引起的。
公式推導
不規則畸變在沒有干擾的時候,信號幅度大體按直線變化,幅度的建立時間為。結果收信電路調整良好,收報繼電器也調整到中和,則繼電器複製出的信號沒有畸變。
不規則畸變
不規則畸變在干擾作用下,信號幅度發生波動,收報繼電器動作點前後變動,變動多少隨當時幅度波動的大小而異,於是出現不規則畸變。當時,幅度。,具有最大波動,因而不規則畸變為最大。
不規則畸變
不規則畸變
不規則畸變
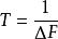
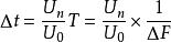
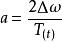
不規則畸變收報繼電器動作時刻的最大變化值為,信號放長或縮短的最大可能值是,於是最大不規則畸變為,式中是干擾防衛度。
不規則畸變
不規則畸變
不規則畸變
不規則畸變
不規則畸變
不規則畸變
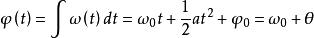
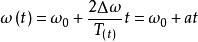
不規則畸變在調頻制報路中,調頻電報信號經過頻寬為的收信濾波器後'頻率大體按直線變化,頻率建立時間。現在取瞬時頻率到達的時間為零,則上升期的瞬時頻率方程為,式中,同樣,在頻率變化的下降期有'(t)=-at。
不規則畸變
不規則畸變
不規則畸變
不規則畸變
不規則畸變
不規則畸變
不規則畸變倘若收報繼電器是中和(無偏)的,調偏電位器居中,電路又是完全平衡的,那么它的動作電流反映在頻率變化曲線上是:,頻率由升到的時間將等於由降到的時間,收下的信號沒有畸變。
不規則畸變
不規則畸變
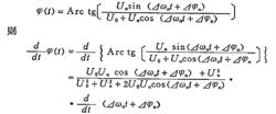
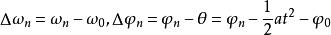
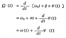
不規則畸變無干擾調頻信號的瞬時相位是,其中是t=0時的初始相位。在干擾作用下,合成電壓仍為所表示,其中寄生調幅由於限幅的採用而不起影響,因此只注意它的寄生調相。
求出合成電壓的瞬時速率為
不規則畸變式中第二項反映了干擾在頻率上的影響。合成電壓的相位
不規則畸變
不規則畸變
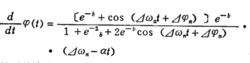
不規則畸變因為,同時代入,上式可寫成
不規則畸變
不規則畸變
不規則畸變
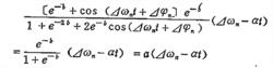
不規則畸變這便是干擾產生的寄生頻移,由於初始相位和有任意值,所以在每次頻率建立的過程中寄生頻移是不一樣的。為了計算可能產生的最大畸變,即,則
不規則畸變即
不規則畸變
不規則畸變由此可得
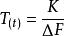
這邊是干擾在調頻制報路中所引起的不規則畸變。

