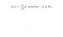
不可微函式不可微函式(non-differentiable function)微分不存在的函式.若一元函式f在二。處沒有(有限)導數,則f稱為在x。不可微.詢如,函式.f<x)= }.z在二一。處連續,但不可微.在幾何上,這意味著在點(xo,.f}xo}}處曲線y =.f }x)沒有切線或切線與y軸平行.對多元函式,當偏導數之一不存在或為無窮時函式不可微.在不可微點處函式的圖象沒有切平面或切平面與某一坐標軸垂直.數學史上的一件引人注目的事是,1860年前後,外爾斯特拉斯(Weier-strass,K. (T. W.)發現了在(一oo,+oo)上處處連續但無處可微的函式.他的例子於1874年由他的學生髮表:
不可微函式其中。GbGl,a是正奇數且ab} 1+ 3n/2(例如a=7,6=6/7).這個函式有時稱為外爾斯特拉斯函式.波爾查諾(Bolzano,B.)早已於1834年以幾何形式給出一個這類函式例子,但遲至1930年才由後人發表.繼外爾斯特拉斯之後,不斷有人舉出這樣的例子,其中,被公認為形式與思想都比較簡單的是,由范·德·瓦爾登(Van der Waerden, B. L.)於1930年給出的下述函式(范·德·瓦爾登函式):對xER,設u}(二)=min {x-[二」,[二」}1一二},即二與離它最近的整數點的距離,其中[二」表示不超過二的最大整數.up (x)的圖象是以1為周期的折線,在
