船舶下水
船舶下水是指當船舶建造完工後,將其從船台或船塢移至水中。船舶下水的方式一般分為三種:重力式下水、漂浮式下水和機械化下水。
重力式下水主要指船舶在船台上,依靠船舶本身重力在傾斜滑道上產生的下滑力,並藉助一定的下水設備將船舶滑移至水中。
漂浮式下水主要指船舶在造船塢內使船舶自然漂浮起來,再將其移到舾裝碼頭。
機械化下水指用某種機械設備將船舶從建造區域移到水中。
氣囊滾裝下水
重力式下水,一般是利用船舶重力,採用縱向滑道的方式使船舶下水。此種下水方式需控制船舶重量,即船舶下水重量不能超過滑道的最大承重。隨著船廠所造船舶的重量越來越大,這種下水方式的局限性越來越突出,因而部分船廠採用氣囊滾裝的方式進行下水。
氣囊滾裝下水,即將氣囊布置在船體底部,利用牽引裝置拖動船舶,使船舶利用氣囊的滾動向目標方向移動,最終達到下水的目的。當採用氣囊滾裝方式及下水時,需對船舶的下水進行必要的計算。主要需確定的數據有以下幾個。
(1)下水重量。要確定具體用多少個氣囊,每個氣囊的安全係數是多少,就必須得到船舶的準確下水重量。
(2)船舶下水時的重心位置及浮態。為避免船舶下水時出現艏傾或艉傾過大,導致其局部受力過大產生變形的情況,必須計算船舶下水時的重心位置,以便及時調整上船物資或調整壓載使船舶處於平浮狀態。
(3)船舶吃水。因下水碼頭前沿水域的水位有限,為保證水位足夠,下水後船舶能順利漂浮起來,必須計算船舶下水後的吃水狀態,以便根據潮高調整下水時間或另選下水地點。
船舶重量性能
船舶重量
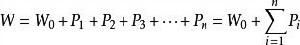
救生艇總重量即船舶重量W是船上各項重量的總和,可按下式求得
下水重量 式中:W——空船重量(Light weight),指船舶裝備齊全但無載重時的排水量,包括船體結構、動力裝置、船舶舾裝、機電設備、管系中的液體、鍋爐和冷凝器中的水等重量。,船舶的空船重量、重心在使用過程中是固定不變的,其值可從《船舶傾斜試驗報告書》查得。
下水重量 ——船舶載重量(Load),指貨物、船員、行李、旅客、淡水、糧食、燃料、船舶常數等可變重量。
總載重量(Dead weight/DW)
船舶載重量的最大值稱為船舶總載重量DW。總載重量表示船舶運輸中總的載重能力,是表征船舶大小的重要量度,可以作為統計船舶擁有量的指標。
淨載重量( Net weight/NDW)
淨載重量指具體航次中船舶所能裝載貨物與旅客以及旅客行李及隨身攜帶物品在內的最大重量。淨載重量的大小影響著船舶的運輸成本。
排水量
船舶排水量( Displacement)是指自由漂浮於靜水面上的靜態船舶排開水的重量,等於空船重量和載重量之和。由於船舶在實際使用中裝載重量是變化的,其排水量也隨著變化,船舶的各種技術性能也隨之發生變化,因此需定義出船舶的若干典型的裝載情況來反映船舶的各種技術性能。對於民用船舶來說,最基本的兩種典型裝載情況下,其相應的排水量有兩種。
(1)空載排水量Δ(Light ship displacement):系指船舶在全部建成後交船時的排水量,即空船重量,滿足
下水重量 (2)滿載排水量Δ(FuIl loaded displacement):系指船舶吃水達到規定的滿載水線時的排水量,滿足
下水重量 根據滿載水線的不同,滿載排水量可能指夏季滿載排水量、冬季滿載排水量或者熱帶滿載排水量等,若無特別指出,滿載排水量指夏季滿載排水量。
對於空載排水量和滿載排水量,又可分為出港和到港兩種情況。前者指攜帶設計所規定的足額燃油、淡水、糧食及其他給養物品時的排水量,後者則假定這些消耗品還剩餘10%時的排水量。所說的設計排水量,如無特別註明,是指夏季滿載出港時的排水量,簡稱滿載排水量。
船舶的重心
下水重量
下水重量
下水重量
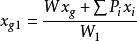
下水重量 設空船重量、油水儲備、固定儲備、貨物、旅客重量及船舶常數等各項重量為 , 的重心位置為 ,船舶的重心位置為 ,則船舶重量和重心位置可按合力矩定理得
下水重量 式中:n——組成船舶總重量的各項重量的數目。
上式中計算船舶重量和重心位置的方法比較簡單。為了避免船舶產生橫傾,船舶在配載過程中,應儘量滿足貨物重量左右對稱並且裝卸港口對稱,以保證船舶重心位置處於中縱剖面上,即y=0,避免船舶產生初始橫傾。
船舶裝卸後的重量與重心
下水重量
下水重量
下水重量
下水重量 若裝卸前船舶重量為W、重心G ,裝卸貨重量 ,船舶裝卸後的重量為W、重心G,可根據合力矩定理得
下水重量
下水重量
下水重量 式中:W——裝卸前船舶的重量,其對應的重心坐標為x和z,當裝卸前船舶為空船時,則W為W,空船重心坐標變為x和z;
P——裝卸第i 項重物的重量,裝貨取正號,卸貨取負號;
x——P重物重心的縱向坐標,船中前取正號,船中後取負號;
z——P重物重心的垂向坐標,均取正號。

