簡介
上界[數學名詞]
上界[數學名詞]
上界[數學名詞]
上界[數學名詞]上界,是與偏序集有關的一個特殊元素。指偏序集中大於或等於它的子集中一切元素的元素。設<A,R>是偏序集, ,若對所有 都有xRa,則a稱為B在偏序集<A,R>中的上界,簡稱B的上界,記為 。若a是B的上界,對於B的任何上界c,都有 aRc,則a稱為B的上確界(或最小上界),記為 。
實數集R上的定義
考慮一個實數集合M。如果有一個實數s,使得M中任何數都不超過s,那么就稱s是M的一個上界。
用數學符號表示為:對∀x∈M,都有x≤s,則稱s是M的上界(upper bound)。
確界原理:若R的子集M有上界,則必有上確界;若集合M有下界,則必有下確界。
上確界定義:設S是R中的一個數集,若數η∈R滿足
(i)對∀x∈S,有η≥x,即η是S的上界;
(ii)對∀a<η,存在x0∈S,使得x0>a,即η是S的最小上界(least upper bound),則稱η為數集S的上確界;
下確界定義:設S是R的一個數集,若數ξ∈R滿足:
(i)對∀x∈S,有ξ≤x,即ξ是S的下界;
(ii)對∀β>ξ,∃x0∈S,使得x0<β,即ξ是S的最大下界(greatest lower bound),則稱ξ為數集的S的下確界;
由戴德金定理證明非空有上界數集必有上確界,非空有下界數集必有下確界同理。
上界[數學名詞]設S為一非空有上界數集,即 成立。取數集B為S所有上界的集合,A=R/B。則:
上界[數學名詞]
上界[數學名詞]
上界[數學名詞]
上界[數學名詞]
上界[數學名詞]①由取法可知 ,故 。 ,故 ,因此 。
上界[數學名詞]② 。
上界[數學名詞]③∵A中任何元素都不是S的上界,∴ 。
上界[數學名詞]又∵B中任何元素都是S的上界,∴ 。
上界[數學名詞]故必有 。
上界[數學名詞]
上界[數學名詞]∴由戴德金定理可知,要么A中有最大值,要么B中有最小值。設這個值為η,並且 , 恆成立。
上界[數學名詞]
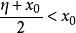
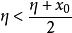
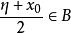
上界[數學名詞]假設η是A中的最大值,即 ,那么, 。
上界[數學名詞]
上界[數學名詞]又∵ ,∴ 。
上界[數學名詞]但, ,與B中任何元素都是S的上界矛盾。
∴η是B中的最小值,即S有最小上界(上確界)。
舉例
上界[數學名詞]對一個 ,它的上界可能不存在,或可能不止一個。例如,令A={1,2,3},R={<a,b>|a整除b}。當B={2,3}時,B沒有上界,當B={1}時,有上界1,2,3,且1是B的上確界。
上界[數學名詞]
上界[數學名詞]對 ,若上確界存在,則是惟一的。一個子集B有上界時它未必有上確界,有上確界也不一定在子集B之中,例如,如概述圖中哈塞圖表示的以A={a,b,c,d,e}為基本集的一個偏序集,子集B={b,c,d},以a為上界,a {b,c,d}。子集{e,f}的上界與上確界都是 f 。子集{c,d,e}無上界,也無上確界。
非空的完全有序集的每個有限子集都有上界和下界。
例如,5是集合{5,8,42,34,13934}的下界。
另一個例子是對於集合{42},數字42既是上界和下界,所有其他實數都不是該集合的上限或下限。
所有自然數的每個子集都具有下界,因為自然數具有最小元素(0或1,取決於自然數的確切定義)。 自然數的無限子集不能從上面界定。 整數的無限子集可以從下方界定或從上方界定。有理數字的無限子集可能來自也可能不會從下方界定,也可能不限於上述。
![上界[數學名詞] 上界[數學名詞]](/img/e/4e6/nBnauM3X1IjMwUTO3IjN0ETN1UTM1QDN5MjM5ADMwAjMwUzLyYzLzUzLt92YucmbvRWdo5Cd0FmLyE2LvoDc0RHa.jpg)
