畫法
銳角三角形:從一個頂點向該頂點的對邊做垂線;
直角三角形的直角邊是直角三角形的高,直角頂點向斜邊做垂線為斜邊高;
鈍角三角形鈍角頂點向對邊做垂線為該邊的高,銳角向對邊外延長線做垂線為該邊的高。
位置
總的來說,三角形的三條高所在的直線相交於一點。
銳角三角形:三條高都在三角形的內部。交點也在三角形的內部。
直角三角形:兩條高分別在兩條直角邊上,另一條高在三角形的內部。交點是直角的頂點。
鈍角三角形:鈍角的兩邊上的高在三角形外部。交點在三角形的外部。
表示方法
若AD是△ABC的高,則:
表示方法①AD⊥BC於D
②∠ADC=90°或∠ADB=90°。
計算
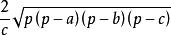
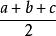
三角形的高設△ABC的三個角∠A、∠B、∠C所對邊分別為a、b、c,p=,則:
三角形的高a邊上的高h=
三角形的高b邊上的高h=
三角形的高c邊上的高h=

