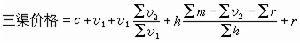
其公式為:
□
式中□代表物質消耗;□□代表基本工資;□□代表基本工資
以外的職工其他收入,如獎金、津貼、福利等;∑□代表
社會總盈利;□代表單位產品占用資金額;□代表地租。
土地、礦山等自然資源是農業和採掘工業的基本生
產資料。在中國,土地和礦山的所有權與經營權相分離。
在土地和礦山的經營權相對壟斷的條件下,地租的存在
就成為不可避免。

三渠價格把社會總盈利分成三部分,分別按社會平均工資盈利率、社會平均資金盈利率和地租計算各類商品的盈利額所形成的價格。
其公式為:
□
式中□代表物質消耗;□□代表基本工資;□□代表基本工資
以外的職工其他收入,如獎金、津貼、福利等;∑□代表
社會總盈利;□代表單位產品占用資金額;□代表地租。
土地、礦山等自然資源是農業和採掘工業的基本生
產資料。在中國,土地和礦山的所有權與經營權相分離。
在土地和礦山的經營權相對壟斷的條件下,地租的存在
就成為不可避免。
渠:是中國比較常見的姓氏。除嶺南部分地區由於方言原因外,此姓氏一般讀作qú。
來源 辨析 名人 歷史遺產東邵渠鎮位於密雲縣東南部,是北京市的一個城鎮。
鄉鎮介紹 歷史沿革 行政區劃 郵政編碼 城市建設渠家大院 ,地處晉商老街東端,始建於清乾隆年間,距今已有近300年的歷史。 渠家大院是始建於清乾隆年間的傳統民居建築,位於山西省晉中市,當年的主人在縣城...
建築布局 晉商文化博物館 歷史沿革 背景分析 主要景點沙渠鎮位於四川省大邑縣東南端,距雙流航空港28公里 距成都第二繞城高速4.7公里,是大邑縣距成都市區最近的鄉鎮。。幅員面積18.94平方公里,耕地面積1...
鄉鎮簡介 交通狀況 水資源 城鎮建設 經濟建設三匯鎮位於渠縣北部,距縣城40公里,建於明代中後期,號稱“小重慶”,鎮北有巴河、鎮東有洲河交匯於鎮前流入渠江,故名三匯鎮。鎮轄6個街道居民委員會、1個菜...
概況 沿革 區劃 鄉鎮概況 地理三匯鎮位於渠縣北部,距縣城40公里,建於明代中後期,號稱“小重慶”,鎮北有巴河、鎮東有洲河交匯於鎮前流入渠江,故名三匯鎮。鎮轄6個街道居民委員會、1個菜...
概況 沿革 區劃 鄉鎮概況 地理網渠寶系統具備財務利潤分析、KPI考核、倉庫多元化管理等功能,整合多種網銷渠道,如淘寶、拍拍、京東、團購網站等B2C商城,聚合網上訂單,統一處理,統一發...
網渠寶簡介 網渠寶特點 網渠寶套用價值 網渠寶價值體現 關於又一城渠縣三匯鎮,簡稱“三匯”,始建於北宋仁宗景佑年間(1034—1038),距今已有上千年歷史,被評為“ 四川四大經濟重鎮” “全國重點鎮 三匯鎮地處四川盆...
概況 沿革 區劃 鄉鎮概況 地理價格形成基礎是指價格形成過程中所遵循的客觀依據。價格是價值的貨幣表現,價值是價格形成的基礎。關於盈利 m作為價格形成的基礎,理論界存在著爭論。
