相關詞條
-
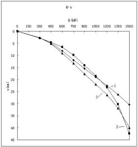
貫入度
貫入度是指在地基土中用重力擊打貫入體時,貫入體進入土中的深度。貫入體可以是樁,也可以是一定規格的鋼釺。貫入度一般是指錘擊樁每10擊進入的深度mm,用(m...
定義 貫入度測試 運用範圍 -
標準貫入
主要由標準貫入器、 觸探桿和穿心錘三部分組成。
試驗要點 校正 套用 其它 標貫擊數 -
標準貫入試驗
標準貫入試驗(standard penetration test,SPT)是動力觸探的一種,是在現場測定砂或粘性土的地基承載力的一種方法。這一方法已被列...
概念 設備 操作 測定 -
裴度
裴度(765年-839年4月21日 ),字中立,漢族,河東聞喜(今山西聞喜東北)人 。唐代中期傑出的政治家、文學家。 裴度出身河東裴氏東眷房 ,為唐德宗...
人物生平 主要成就 個人作品 人物評價 後世地位 -
夢溪筆談夯
,故誤三為二。其後勒著定本,定為二十六卷,幹道二年湯修年據以校刻,頗為...宣召之禮,惟學士宣召。蓋學士院在禁中,非內臣宣召,無因得入,故院門別設復門...,自東華門入,至左承天門下馬;待詔、院吏自左承天門雙引至門。此亦用唐故事...
夢溪筆談 前言 夢溪筆談序 卷一故事一 卷二故事二 -
功夫百科全書
每個稱號都有具體標準。如“猛殷之士”要“有引五石之弓﹐矢貫五紮﹐戈矛劍戟...7載:“兩人出陣對舞如擊刺之狀……出場凡五七對﹐或以槍對牌﹑劍對牌之類...
武術篇 武術的起源與發展 武術篇 馬步 武術篇 沙袋 武術篇 打坐 武術篇 吐納 -
詩詞律韻探微
粘對。。。。。。。。。。。。。。。。。13 孤平和三平調...。 三,韻書 所編《平水韻》、《中華新韻》、《詞林正韻》、《詩韻》四部...五言、七言之處,還有所謂雜言。雜言指的是長短句雜在一起,主要是三字句、五...
-
愛回家
的誤會,以為老父臨老入花叢。真相大白後,兄弟二人驚覺眼前猛虎不知何時虎鬚已白...看守監犯的一套規範套用在家中,三兄弟自小規行矩步,作息飲食定時。馬壯幾經...,只因心知馬壯是三兄弟中最聰明機靈的一個,擔心聰明反比聰明誤。馬壯大學畢業後...
劇情簡介 角色介紹 職員表 演員表 分集劇情

