起源
七色定理人類在企圖證明四色定理過程中,發現了在曲面上作圖,反而更加容易。1974年德國的林格和美國的楊斯證明了:(公式來自《圖論導引》214頁,機械工業出版社)
P是指這個曲面的洞的個數,又叫虧格。當虧格為1時
七色定理外國數學家並且給出了這個需要7種顏色染色的圖形:(參見右圖)上下對摺,再左右對摺,形成一個汽車輪胎形狀,就是有7個區域兩兩相連。
表明:在有一個洞的曲面上染色,6種顏色是不夠的。如果能夠將一個圖G畫在平面上,使得他的邊僅僅在端點相交,則稱這個圖是可以嵌入平面的,或者稱其為平面圖。
證明
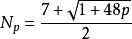
七色定理又叫Heawood定理:Np=[(7+√1+48P)/2].證明這個公式,數學家用了78年。P是指這個曲面的洞的個數,又叫虧格。當虧格為3時:(公式來源:
介紹
需要7種顏色染色的圖形:下圖是全景圖,上圖:上下對摺,再左右對摺,形成一個汽車輪胎形狀,就是有7個區域兩兩相連。
環面打開後的平面圖表明:在有一個洞的曲面上染色,6種顏色是不夠的。
七色定理依據圖片製作的模型正面
模型背面疑問
Heawood的文章不僅僅指出了Kempe的錯誤,而且也給出了五色定理的一個證明,然而他沒有停留於此,Heawood繼續考慮其它一些想法,Heawood文章的主要後續成果是征對於可嵌入到球面的圖的最大色數問題。
Heawood把注意力轉移到其它曲面上圖的色數確定問題上。
七色環面疑問圖左邊圖3是一個七色環面圖,如果把中間的Q國分裂成為3個國家J國U國,就會出現不是7個區域兩兩相連,依然需要7種顏色。因為,否定4色定理的理由也是這樣的。
否定理由
今日數學書籍
今日數學2是需要四個兩兩相連區域不需要5個兩兩相連區域的理由,是因為右圖是四個兩兩相連區域,而左圖是將右圖B區再次分為三個。破壞了兩兩相連有人需要4種顏色。
意義
區域染色的意義十分重大,在實際生活中有廣泛的套用。

