概念
七次函式一般地,形如
的函式,我們稱之為七次函式。
七次函式屬於高次函式,其中x為自變數,y為x的函式。
對於七次函式,零點沒有一般解法,由於太過複雜且實用性不高,一般較少出現在數學套用領域。
儘管如此,對不同函式的深入研究,可以增長我們的見識,鍛鍊思維,提高數學觀念,學習新知,體驗數形結合的樂趣。
另外,在求函式的冪級數展開時,可能會在高階要求下出現。
性質
七次函式不具有一般性質,因此研究七次函式需要分類討論。
奇偶性
七次函式的一般形式一般地,當六次項及以下偶次項的係數為0(即函式屬於冪函式),函式為奇函式。(如圖)
反之,則函式為非奇非偶函式。
單調性
七次函式單調性較為複雜,一般通過求導方法確定導函式的零點,再做出判斷。。但五次以上的高次方程已近不能解出解析解了,所以一般套用是最多選取一定精度範圍的近似零點。
特殊點
當x=0時,過點(0,h)。
當七次函式為冪函式,過點(0.0)
當x∈R時,無特殊點。
定義域
R
值域
R
套用
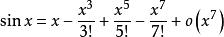
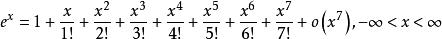
七次函式是高次函式,凡是超過五次以上的多項式和的函式,都稱作 高次函式。一般都不會在數學實際套用中出現,有可能會出現在函式的高階冪級數展開,例如:
七次函式對 展開至七次,即:
七次函式
七次函式是 泰勒級數的展開,這裡使用了 帶Peano( 佩亞諾 )餘項的形式。
七次函式
七次函式或者是 在 處的展開
七次函式
七次函式但是,這些近似都要求過高,一般只需要去前幾項,對於 ,只需要展開到四階。另外,還有其他冪級數的形式例如 拉格朗日插值多項式,又稱作拉格朗日插值公式。

