工程上對於梁、殼、板的分析計算過程中,對它們的變形過程進行假設,使得位移、應力、應變得到簡化、可計算。假設不同的變形結果,相應的計算過程就形成對應的理論方法。對於梁、殼、板的假設主要有三種:經典理論、一階剪下變形理論及三階剪下變形理論。右圖所示分別為變形前形狀,變形後的三種變形假設。
經典變形理論假設變形後的法線(第二圖粗實線)1.仍然垂直於中面 2.仍然為直線且長度不變。
一階變形理論假設變形後的法線(第三圖粗實線)仍然為直線且長度不變。
三階階變形理論假設變形後的法線(第四圖粗實線)為三階曲線。
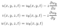
以下為各理論位移計算公式:
經典理論位移公式
一階變形理論位移公式
三階變形理論位移公式
