基本介紹
一般平均指不考慮分組,分組數據集中後所有取值的平均值,是方差分析中回響變數觀測值的數學期望,等於各工程平均(即“組平均”,見下文)的簡單或加權算術平均值,其無偏估計量是全部觀測值的總平均值。參見“單向方差分析”、“雙向方差分析”。
具體說明
下面在“單向方差分析”說明總平均(即“一般平均”)。
一般平均
一般平均
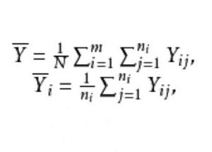
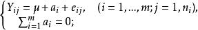
一般平均單向方差分析亦稱單因子方差分析、一種方式分組的方差分析。單因子析因試驗數據的統計分析。單向方差分析的基本問題估計和比較多個等方差正態總體的均值。設有m個等方差正態總體Y~N (μ,σ),或Y=μ+e=μ+a+e(i=1,…,m),其中e,…,e獨立同常態分配N(0,σ), ,a=μ-μ且滿足約束 。對於單因子試驗,Y是在因子A取水平A時的試驗結果,μ是其平均水平,a稱做水平A的效應。設在水平A下作n次獨立重複試驗,得 :
一般平均
一般平均( 獨立同常態分配N(0,σ)
單向方差分析模型此即單向方差分析模型。統計推斷問題:1. 估計總平均μ和各因子效應a(i=1,…,m);2.檢驗假設H:μ=…=μ或H:a=…=a=0,即各因子水平的效應均不顯著;3. 若H被否定,則利用多重比較法找出效應顯著的水平。
1.樣本均值
一般平均
一般平均
一般平均相應為μ和μ的無偏估計, 為a的無偏估計, 其中 。
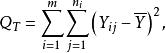
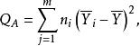
2. 假設H的檢驗基於離差平方和的分解
一般平均其中
一般平均(總平方和)
一般平均(組間平方和)
一般平均(組內平方和)
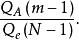
檢驗使用統計量
一般平均F=組間方差/組內方差=
當F≥F(f,f)時認為μ,…,μ間差異顯著,即因子A的效應顯著,其中F(f,f)是自由度為f=m-1和f=N-m的F分布水平α上側分位數。
3. 未知方差σ的無偏估計為
一般平均工程平均
工程平均亦稱組平均。方差分析中相對於—定處理或在某種水平下回響變數觀測值的數學期望,它與總平均值之差稱做該種處理或該因子水平的效應。工程平均的無偏估計量,是給定處理或水平下全部數據的算術平均值。參見“單向方差分析”、“雙向方差分析”。

