起源
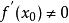
牛頓法最初由艾薩克·牛頓在《流數法》(Method of Fluxions,1671年完成,在牛頓去世後的1736年公開發表)中提出。約瑟夫·鮑易也曾於1690年在Analysis Aequationum中提出此方法。
原理
牛頓法
牛頓法把非線性函式 在 處展開成泰勒級數
牛頓法
藍色代表方程,紅色代表切線。
牛頓法取其線性部分,作為非線性方程的近似方程,則有
牛頓法
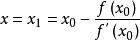
牛頓法設 ,則其解為
牛頓法
牛頓法
牛頓法
牛頓法
牛頓法
牛頓法因為這是利用泰勒公式的一階展開, 處並不是完全相等,而是近似相等,這裡求得的 並不能讓 ,只能說 的值比 更接近 ,於是乎,疊代求解的想法就很自然了,
牛頓法
牛頓法
牛頓法
牛頓法
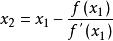
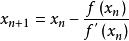
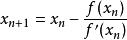
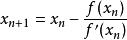
牛頓法再把f(x)在x1 處展開為泰勒級數,取其線性部分為 的近似方程,若 ,則得 如此繼續下去,得到牛頓法的疊代公式: ,通過疊代,這個式子必然在 的時候收斂。整個過程如右圖:
牛頓法
牛頓法
牛頓法
牛頓法例1 用牛頓法求方程 在 內一個實根,取初始近似值=1.5。 解 所以疊代公式為:
搜尋方向較近似於牛頓法
牛頓法列表計算如下:
牛頓法 | 牛頓法 |
| 0 | 1.5 |
| 1 | 1.7371 |
| 2 | 1.6987 |
| 3 | 1.6975 |
| ... | ... |
切線法
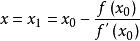
方程f(x)=0的根就是曲線y=f(x)與x軸交點的橫坐標x*,當初始近似值x選取後,過( x,f(x))作切線,其切線方程為:y- f(x)=f′(x)(x-x)
一般地,設Xn是x*的第n次近似值,過( x,f(x))作y=f(x)的切線,其切線與x軸交點的橫坐標為: 即用切線與x軸交點的橫坐標近似代表曲線與x軸交點的橫坐標。
牛頓法正因為有此明顯的幾何意義,所以也叫切線法。
牛頓法定理
設f(x)在[a,b]滿足
(1) f(a)·f(b)<0
(2) f(x)∈[a,b],f′(x),f″(x)均存在,且f′(x)與f″( x)的符號均保持不變。
(3) f(x)·f″(x)>0, x∈[a,b] 則方程f(x)=0在[a,b]上有且只有一個實根,由牛頓法疊代公式計算得到的近似解序列收斂於方程 f(x)=0 的根 x*。
由方程f(x)=0得到的牛頓疊代形式:
由於f(x*)=0,所以當f′(x*)≠0時, (x* )= 0,牛頓法至少是二階收斂的,即牛頓法在單根附近至少是二階收斂的,在重根附近是線性收斂的。
牛頓法收斂很快,而且可求復根,缺點是對重根收斂較慢,要求函式的一階導數存在。
其它例子
第一個例子
牛頓法
牛頓法
牛頓法
牛頓法
牛頓法
牛頓法
牛頓法求方程 的根。令 ,兩邊求導,得 。由於 ,則 ,即 ,可知方程的根位於0和1之間。我們從 開始。
牛頓法第二個例子
牛頓法亦可發揮與泰勒展開式,對於函式展開的功能。
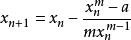
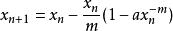
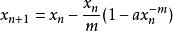
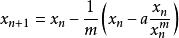
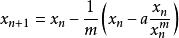
求a的m次方根。
牛頓法
牛頓法設
而a的m次方根,亦是x的解,
以牛頓法來疊代:
牛頓法
牛頓法
牛頓法
牛頓法(或 )
套用
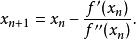
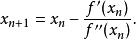
求解最值問題
牛頓法也被用於求函式的最值。由於函式取最值的點處的導數值為零,故可用牛頓法求導函式的零點,其疊代式為
牛頓法
牛頓法
牛頓法 