定義
不同文獻對於SS的定義存在差別,主要從以下兩方面進行定義:
不可濾殘渣:截留在濾器上的全部殘渣,也稱懸浮物,指不能透過孔徑為0.45μm濾膜的固體物,用0.45μm濾膜過濾水樣,經103-105℃烘乾後得到的不可濾殘渣(懸浮物)的含量。
廢水中的雜質分為無機物和有機物兩大類。物質在水中有三種分散狀態:溶解態(直徑小於1nm)、膠體態(直徑介於1~100nm)、懸浮態(直徑大於100nm)。水中所有殘渣的綜合成為總固體(total solid,TS),包括溶解固體(dissolved solid,DS)和懸浮固體(suspended solid,SS)。能透過濾膜或濾紙(孔徑3~10μm)的為溶解固體(DS),表示水中鹽類的含量,不能透過濾膜或濾紙的為懸浮固體(SS),表示水中不溶解的固態物質的量。
1.不可濾殘渣:截留在濾器上的全部殘渣,也稱懸浮物,指不能透過孔徑為0.45μm濾膜的固體物,用0.45μm濾膜過濾水樣,經103-105℃烘乾後得到的不可濾殘渣(懸浮物)的含量。
2.不能透過濾膜或濾紙的為懸浮固體(SS),表示水中不溶解的固態物質的量。
性質
懸浮固體是廢水的一項重要水質指標,排入水體後會在很大程度上影響水體外觀,除了會增加水體的渾濁度,妨礙水中植物的光合作用,對水生生物生長不利外,還會造成管渠和抽水設備的堵塞、淤積和磨損等。此外,懸浮固體還有吸附和凝聚重金屬及有毒物質的能力。
易混淆概念
MLSS/污泥濃度:指混合液(曝氣池內)的SS,詳見詞條MLSS;
MLVSS:混合液活性污泥中有機性固體物質部分的濃度,詳見詞條MLVSS。
監測方法
1. 方法原理
許多江河由於水土流失使水中懸浮物大量增加。地表水中存在懸浮物使水體渾濁,降低透明度,影響水生生物的呼吸和代謝,甚至造成魚類窒息死亡。懸浮物多時,還可能造成河道阻塞。
2 . 試劑
蒸餾水或同等純度的水。
3 . 儀器
(1)全玻璃或有機玻璃微孔濾膜過濾器
(2)濾膜,孔徑0.45μm,直徑45~60mm
(3)吸濾瓶、真空泵
(4)無齒扁嘴鑷子
(5)稱量瓶,內徑30~50mm
4. 採樣及樣品貯存
(1)採樣:
所用聚氯乙烯瓶或硬質玻璃瓶要用洗滌劑洗淨,再依次用自來水和蒸餾水沖洗乾淨。在採樣之前,再用即將採集的水樣清洗三次。然後,採集具有代表性的水樣500~1000mL,蓋嚴瓶塞。
(2)樣品貯存:
採集的水樣應儘快分析測定。如有放置,應貯存在4℃冷藏箱中,但最長不得超過7d。
5. 步驟
(1)濾膜準備:
用扁嘴無齒鑷子夾取濾膜放於事先恆重的稱量瓶里,放入烘箱於103~105℃烘乾0.5h後取出置於乾燥器內冷卻至室溫,稱其重量。反覆烘乾、冷卻、稱量,直至兩次稱量的重量差≤0.2mg。將恆重的濾膜正確地放在濾膜過濾器的濾膜托盤上,加蓋配套的漏斗,並用夾子固定好。以蒸餾水潤濕濾膜,並不斷吸濾。
(2)測定:
量取充分混合均勻的試樣100mL抽吸過濾,使水分全部通過濾膜,再以每次10mL蒸餾水連續洗滌三次,繼續吸濾,以出去痕量水分。停止吸濾後,仔細去除載有懸浮物的濾膜放在原恆重的稱量瓶里,移入烘箱中於103~105℃烘乾1h後移入乾燥器中,使冷卻到室溫,稱其重量,反覆烘乾、冷卻、稱量,直至兩次稱量的重量差≤0.4mg為止。
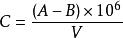
6. 計算
ss[懸浮固體]C——懸浮物含量(mg/L)
A——懸浮物+濾膜+稱量瓶重量(g)
B——濾膜+稱量瓶重量(g)
V——試樣體積(ml)
7 注意事項:
(1)漂浮或浸沒的不均勻固體物質不屬於懸浮物質,應從採集的水樣中去除。
(2)儲存水樣時不能加入任何保護劑,防止破壞物質在固、液相間的分配平衡。
(3)濾膜上截留過多的懸浮物可能夾帶過多的水分,除延長乾燥時間外,還可能造成過濾困難,遇此情況,可酌情少取試樣。濾膜上懸浮物過少,則會增大稱量誤差,影響測定精度。必要時,可增大試樣體積。一般以5~100mg懸浮物量作為量取試樣體積的實用範例。
![ss[懸浮固體] ss[懸浮固體]](/img/8/a7a/nBnauM3X2QTM0ADM4cjN5ATO1UTM1QDN5MjM5ADMwAjMwUzL3YzL1gzLt92YucmbvRWdo5Cd0FmLyE2LvoDc0RHa.jpg)
