釋義
:
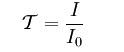
od[吸光度] 吸光度的定義為:
od[吸光度] 對於不同波長(λ)的光,樣本的吸光度未必一樣。
對於較稀的溶液,吸光度和濃度成正比,兩者關係可用比爾-朗伯定律說明:
od[吸光度]
od[吸光度] 是入射光光強,
od[吸光度] 是出射光光強。
l是光在樣本中經過的距離。
c是濃度
od[吸光度] 是吸收係數,是材質的性質。
實驗中,吸光度或透光率可用色度計求得。
其他釋義:
OD 可以措:Object Desktop,電腦皮膚套件 Oblivion Dust 開放檔案格式(OpenDocument Format) Optical density od是UNIX上的程式 透支(OverDraft)的英文簡稱 劑量過多(Overdose)的英文縮寫(通常用於形容吸毒者)
