特性
ECC特性
存儲量與密鑰規模
ECC遵從IEEE標準。
組合矩陣(Combining-matrix)分為私鑰矩陣和公鑰矩陣,分割密鑰序列(Separating-keysequence )由一定數量的分割密鑰(Separating-key)構成,密鑰對用(ssk, SPK)標記。
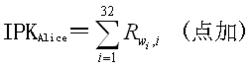
標識密鑰(Identity-key)由標識產生,用(isk,IPK)標記。
組合密鑰(Combined-key)由標識密鑰和分割密鑰複合而成,用(csk,CPK)標記。
複合特性
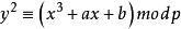
cpk[組合公鑰]組合公鑰體制採用有限域Fp上的橢圓曲線E:,以參數(a, b,G, n, p)定義。其中a, b是係數,a,b,x,y∈p,G為加法群的基點,n是以G為基點的群的階。令任意小於n的整數為私鑰,則r G=R為對應公鑰。
ECC複合特性如下:
在橢圓曲線密碼ECC中,任意多對公、私鑰,其私鑰之和與公鑰之和構成新的公、私鑰對。
如果,私鑰之和為:( r1 + r2 + … + rm ) mod n = r
則對應公鑰之和為: R1 + R2 + … + Rm= R (點加)
那么,r和R剛好形成新的公、私鑰對。
因為,R = R1 + R2 + … + Rm =r1G + r2G +…+ rmG = (r1 +r2 +…+ rm) G = r G
密鑰分類
標識密鑰
組合矩陣
組合矩陣分為私鑰矩陣和公鑰矩陣。矩陣大小均為hx32,用(ri,j)或(Ri,j)表示,i=1..h,j=1..32。r是小於n的隨機數。私鑰矩陣(ri,j)用於私鑰的生成,是秘密變數。公鑰矩陣由私鑰矩陣派生,即 ri,j G= (xi,j,yi,j) =Ri,j,是公開變數。
標識到矩陣坐標的映射
標識到組合矩陣坐標的映射通過將標識ID經Hash變換變成YS序列實現:
YS =Hash (ID)= w1,w2,…,w34;
w的字長為k比特,k由矩陣的行數h決定,即h=2,
w1 - w32依次指示行坐標。w33- w34指示分割密鑰坐標。列坐標從1到32順序啟用。
標識密鑰的計算
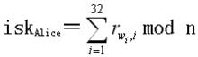
標識私鑰(isk)的計算在KMC進行。設第i列所用行坐標用wi表示,令標識私鑰為isk,那么私鑰以有限域域Fp上的倍數加法實現,實體Alice的私鑰為:
cpk[組合公鑰]公鑰計算以橢圓曲線E上的倍點加法實現,對應公鑰為:
cpk[組合公鑰]分割密鑰
分割密鑰由YS序列中的w33,w34指示,從分割密鑰序列中選取,並只以公鑰形式存在,分割公鑰序列SPKi可以檔案形式公布,或記入CPK-card。
組合密鑰
標識密鑰和分割密鑰複合形成組合密鑰。設分割私鑰為ssk,實體Alice的組合私鑰cskAlice由KMC計算:
cskAlice = (iskAlice +sskAlice)mod n
將組合私鑰cskAlice記入Alice的CPK-card並刪除分割私鑰sskAlice。
組合公鑰由各依賴方計算:
CPKAlice=IPKAlice+SPKAlice;
小結
數字簽名
抱歉無法輸入數學符號,請點擊查看密鑰交換
CPK密鑰交換遵從Diffie-Helman協定。
加密:Alice通過Bob的標識求出YS序列中的w33-w34,在分割公鑰序列中查找出Bob的分割公鑰SPKBob;
Alice根據Bob的標識和公鑰矩陣計算Bob的標識公鑰IPKBob;
Alice計算Bob的組合公鑰:CPKBob=IPKBob+SPKBob;
Alice選擇隨機數r,計算:r·CPKBob=β和r G=key;
(密鑰加密協定可簡單表示成ENCBOB(key)=β)
Alice加密:Ekey(data) = code;
Alice將code和β傳送給Bob
脫密:Bob用自己的組合私鑰計算出key:
cskBobβ= cskBob(r CPKBob )= cskBob(r cskBob G )= r G = key
(密鑰脫密協定可簡單表示成DECbob(β)=key)
Bob用對稱密鑰key脫密:Dkey(code) = data。
安全界限
CPK組合私鑰csk是標識私鑰isk和分割私鑰ssk相加而成,分割私鑰序列是亂數序列,用於對標識私鑰的加密。因為標識私鑰是組合矩陣變數的線性組合,只有消除分割私鑰的影響,才能暴露標識密鑰的線性方程。消除分割私鑰的辦法是尋找分割私鑰的重複。
設組合矩陣變數的總量為N1,分割私鑰變數的總量為N2。因為標識密鑰方程組的秩為N1-1,要列N1個聯立方程,至少要獲得N1個重複。假設用戶量為N1*N2,分割私鑰重複的機率為N1次,那么可以找到N1個重複,但是:
a) 在這些重複中,只有參與共謀的才有私鑰,可以列出方程,而沒有參與共謀的,即使找到了重複,也因為沒有私鑰,所以列不出方程,因而沒有意義。
b) 在消除分割私鑰影響以後的組合私鑰的線性方程中,又只有線性無關方程才有意義,而線性相關方程沒有意義。
當N1*N2個用戶全體參與共謀的情況下,N1個方程恰好滿秩的可能性幾乎等於零,顯然方程不可能有唯一解,私鑰的組合矩陣仍然是安全的。
密鑰規模
當組合矩陣變數總量為N1,分割密鑰變數總量為N2時,公布所需要的空間是兩個總量之和(N1+N2),而密鑰規模則是兩個總量的乘積(N1*N2),因此當N1=N2時,其密鑰規模最大。密鑰規模是指無意義共謀規模的上限(實際上,離真正得上限還差很遠),如果本規模的共謀是不可能事件,那么用戶規模可以是無限的。假設ECC密鑰長度為160比特(20B),其公鑰長度為40B,那么密鑰的存儲量和密鑰規模的關係如下表。
| N1 | 2(40KB) | 2(160KB) |
| N2 | 2(40KB) | 2(160KB) |
| 規模 | 2=1..0x10 | 2=1.6x10? |
作用
CPK是基於組合的公鑰體制,將密鑰生產和密鑰管理結合起來,能夠實現數字簽名和密鑰交換,可以滿足超大規模信息網路與非信息網路(包括物聯)中的標識鑑別、實體鑑別、數據保密需求。
套用
品質統計意義
CPK:Complex Process Capability Index 的縮寫,是現代企業用於表示製程能力的指標。製程能力強才可能穩定地生產出質量、可靠性高的產品。
製程能力指標是一種表示製程水平高低的方法,其實質作用是反映製程合格率的高低。
製程能力的研究在於確認這些特性符合規格的程度,以保證製程成品的良率在要求的水準之上,可作為製程持續改善的依據。而規格依上下限又分成單邊規格及雙邊規格。只有規格上限和規格中心或只有規格下限和規格中心的規格稱為單邊規格。有規格上下限與中心值,而上下限與中心值對稱的規格稱為雙邊規格。
在進行過程能力分析之前,應首先確保測量方法和量具的適用性,並進行測量系統分析,測量系統分析的結果通過,應進行SPC分析,判斷過程是否穩定。當SPC判穩,則認為過程中的特殊原因變差可忽略,此時可計算CPK.
CPK值越大表示品質越佳。
CPK = Min(CPKu,CPKl)
其中:
CPKu = | USL-ˉx | / 3σ
CPKl = | ˉx -LSL | / 3σ
USL (Upper specification limit): 規格上限。
LSL (Low specification limit): 規格下限。
σ 標準差。
ˉx = (x1+x2+...+xn) / n : 平均值。
T = USL - LSL : 規格公差。
U = (USL + LSL) / 2:規格中心。
意義
製程水平的量化反映;(用一個數值來表達製程的水平) 製程能力指數:是一種表示製程水平高低的方便方法,其實質作用是反映製程合格率的高低。
計算公式
CPK=Cp*(1-|Ca|)
Ca (Capability of Accuracy):製程準確度;在衡量「實際平均值」與「規格中心值」之一致性。對於單邊規格,因不存在規格中心,因此不存在Ca;對於雙邊規格,Ca=(ˉx-U)/(T/2)。
Cp (Capability of Precision):製程精密度;在衡量「規格公差寬度」與「製程變異寬度」之比例。對於單邊規格,只有上限和中心值,Cpu = | USL-ˉx | / 3σ 或 只有下限和中心值,Cpl = | ˉx -LSL | / 3σ;對於雙邊規格:Cp=(USL-LSL) / 6σ=T/6σ
注意: 計算Cpk時,取樣數據至少應有20組數據,而且數據要具有一定代表性。
計算實例
cpk[組合公鑰]某零件質量要求為20±0.15,抽樣100件,測得:-x =20.05mm;s=0.05mm,求過程能力指數。根據零件的規格要求,Tu=20.15,Tl=19.85
M=Tu+Tl/2=(20.15+19.85)/2=20.00
ε=|M- 20.05|=0.05
T = USL - LSL = 20.15 - 19.85 = 0.3
C= CP*(|1-CA|)
= (T-2ε)/6s = (0.3-2*0.05)/(6*0.05)=(0.3-0.1)/(6*0.05)≈0.67
處理原則
A+≥1.67無缺點考慮降低成本
A:1.33≤Cpk<1.67狀態良好維持現狀
B:1.0≤Cpk<1.33改進為A級
C:0.67≤Cpk<1.0製程不良較多,必須提升其能力
D:Cpk<0.67製程能力較差,考慮整改設計製程
套用講議
1. Cpk的中文定義為:製程能力指數,是某個工程或製程水準的量化反應,也是工程評估的一類指標。
2. 同Cpk息息相關的兩個參數:Ca , Cp.
Ca: 製程準確度。 在衡量「實際平均值」與「規格中心值」之一致性。對於單邊規格,因不存在規格中心,因此不存在Ca;對於雙邊規格,Ca=(ˉx-U)/(T/2)。
Cp: 製程精密度。 在衡量「規格公差寬度」與「製程變異寬度」之比例。對於單邊規格,
只有上限和中心值,Cpu = | USL-ˉx | / 3σ。
只有下限和中心值,Cpl = | ˉx -LSL | / 3σ
對於雙邊規格:Cp=(USL-LSL) / 6σ
3. Cpk, Ca, Cp三者的關係: Cpk = Cp * ( 1 - |Ca|),Cpk是Ca及Cp兩者的中和反應,Ca反應的是位置關係(集中趨勢),Cp反應的是散布關係(離散趨勢)
4. 當選擇製程站別Cpk來作管控時,應以成本做考量的首要因素,還有是其品質特性對後製程的影響度。
5. 計算取樣數據至少應有20~25組數據,方具有一定代表性。
6. 計算Cpk除收集取樣數據外,還應知曉該品質特性的規格上下限(USL,LSL),才可順利計算其值。
7. 首先可用Excel的“STDEVP”函式 (註:應該是“STDEV”,可參考minitab計算出的數據。excel2007及早期版本與STDEV.P計算值相同)自動計算所取樣數據的標準差(σ),再計算出規格公差(T),及規格中心值(U). 規格公差T=規格上限-規格下限;規格中心值U=(規格上限+規格下限)/2;
8. 依據公式:Ca=(ˉx-U)/(T/2) , 計算出製程準確度:Ca值 (ˉx為所有取樣數據的平均值)
Ca的評級標準及處理:
| 等級 | Ca值 | 處理原則 |
| A | |Ca|≤12.5% | 作業員遵守作業標準操作並達到要求,需繼續保持。 |
| B | 12.5%≤|Ca|≤25% | 有必要將其改進為A級。 |
| C | 25%≤|Ca|≤50% | 作業員可能看錯規格或不按作業標準操作。須檢討規格及作業標準。 |
| D | 50%≤|Ca| | 應採取緊急措施全面檢討所有可能影響之因素,必要時得停止生產。 |
9. 依據公式:Cp =T/6σ , 計算出製程精密度:Cp值
Cp的評級標準及處理:
| 等級 | Cp值 | 處理原則 |
| A+ | Cp≥1.67 | 無缺點。可考慮降低成本。 |
| A | 1.33≤Cp≤1.67 | 狀態良好維持現狀。 |
| B | 1.00≤Cp≤1.33 | 改進為A級。 |
| C | 0.67≤Cp≤1.00 | 製程不良較多,須提升能力。 |
| D | Cp≤0.67 | 製程能力太差,應考慮重新整改設計製程。 |
10. 依據公式:Cpk=Cp(1-|Ca|) , 計算出製程能力指數:Cpk值
11. Cpk的評級標準:(可據此標準對計算出之製程能力指數做相應對策)
| 等級 | Cpk值 | 處理原則 |
| A++ | Cpk≥2.0 | 特優,可考慮成本的降低 |
| A+ | 2.0 > Cpk ≥ 1.67 | 優,應當保持之 |
| A | 1.67 > Cpk ≥ 1.33 | 良,能力良好,狀態穩定,但應盡力提升為A+級 |
| B | 1.33 > Cpk ≥ 1.0 | 一般,製程因素稍有變異即有產生不良的危險,應利用各種資源及方法將其提升為 A級 |
| C | 1.0 > Cpk ≥ 0.67 | 差,製程不良較多,必須提升其能力 |
| D | 0.67 > Cpk | 不可接受,其能力太差,應考慮重新整改設計製程。 |
12. Cpk和製程良率換算。
| Cpk | 每一百萬件之不良 | 合格率 |
| 0.33 | 317310 | 68.3 |
| 0.67 | 45500 | 95.5 |
| 1 | 2700 | 99.73 |
| 1.33 | 63 | 99.9937 |
| 1.67 | 0.57 | 99.99995 |
| 2 | 0.002 | 100 |
CPK與PPK都是表示製程能力的參數,PPK中添加了對過程特殊原因的關注,是描述過程性能的指標。現代計算中多採用Minitab軟體來實現,方便快捷。
![cpk[組合公鑰] cpk[組合公鑰]](/img/d/793/nBnauM3X3EzN1ETM0gjN1ATN0UTMyITNykTO0EDMwAjMwUzL4YzL0czLt92YucmbvRWdo5Cd0FmLyE2LvoDc0RHa.jpg)
