發展歷史
當發現了電磁感應後,產生交流電流的方法就被知曉。早期的成品由英國人麥可·法拉第(Michael Faraday)與法國人波利特·皮克西(Hippolyte Pixii)等人開發出來。
1882年,英國電工詹姆斯·戈登建造了大型雙相交流發電機。開爾文勳爵與塞巴斯蒂安·費蘭蒂(Sebastian Ziani de Ferranti)開發早期交流發電機,頻率介於100赫茲至300赫茲之間。
1891年,尼古拉·特斯拉取得了交流發電機的專利。
1891年後,多相交流發電機被用來供應電流,此後的交流發電機的交流電流頻率通常設計在16赫茲至100赫茲間,搭配弧光燈、白熾燈或電動機使用。
根據電磁感應定律,當導體周圍的磁場發生變化,感應電流在導體中產生。通常情況下,旋轉磁體稱為轉子,導體繞在鐵芯上的線圈內的固定組,稱為定子,當其跨越磁場時,便產生電流。產生交流電的基本機械稱為交流發電機。
性質
根據傅立葉級數的原理,周期函式都可以展開為以正弦函式、餘弦函式組成的無窮級數,任何非簡諧的交流電也可以分解為一系列簡諧正餘弦交流電的合成。
頻率
交流電的頻率是指它單位時間內周期性變化的次數,單位是赫茲,與周期成倒數關係。日常生活中的交流電的頻率一般為50赫茲或60赫茲,而無線電技術中涉及的交流電頻率一般較大,達到千赫茲(KHz)甚至百萬赫茲(MHz)的度量。不同國家的電力系統的交流電頻率不同,通常為50赫茲或者60赫茲。在亞洲使用50赫茲的國家與地區主要有中國、日本、泰國、印度和新加坡,而韓國、菲律賓和台灣使用60赫茲,歐洲大部分國家使用50赫茲,美洲使用60赫茲的國家主要是墨西哥、美國、加拿大。
峰值和有效值
ac[交流電]正餘弦交流電的峰值與振幅相對應,而有效值大小則由相同時間內產生相當焦耳熱的直流電的大小來等效。交流電峰值與均方根值(有效值)的關係為。市電220V表示均方根值,其峰值為311V。
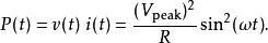
功率振盪
假設使用單相電連線到純電阻負載。
ac[交流電]
ac[交流電]根據三角恆等式,可以得知功率(P)的振盪頻率是電壓(V)頻率的兩倍。
ac[交流電]使用50Hz或60Hz單相電時,電器的輸出功率會以100Hz或120Hz振盪。這個數字遠高於肉眼可分辨的24Hz,所以我們無法觀察電燈在閃爍。
使用三相電時,三個功率相加是穩定的,這是發電廠使用三相發電機的主要原因之一。
發電機
交流發電機通常採用旋轉磁場設計,電樞靜止,這樣便不需要使用電刷和滑環取電。
同步發電機的磁場來自永久磁鐵或電磁鐵。發電廠使用的大型同步發電機可透過控制勵磁系統(電磁鐵)來改變輸出電壓及無功功率。
異步發電機靜止時不會自行產生磁場,利用定子與轉子間氣隙旋轉磁場,與轉子繞組中感應電流相互作用來發電。異步發電機需要電容或同步發電機提供無功功率才可以運作,因此通常不能自啟動,即是不藉助外部電力來啟動。
電力傳輸
ac[交流電]交流電被廣泛運用於電力的傳輸,因為在以往的技術條件下交流輸電比直流輸電更有效率。傳輸的電流在導線上的耗散功率可用焦耳定律(P =I ²R)求得,顯然要降低能量損耗需要降低傳輸的電流或電線的電阻。由於成本和技術所限,很難降低目前使用的輸電線路(如銅線)的電阻,所以降低傳輸的電流是唯一而且有效的方法。根據P=IU(實際上有功功率),提高電網的電壓即可降低導線中的電流,以達到節約能源的目的。
而交流電升降壓容易的特點正好適合實現高壓輸電。使用結構簡單的升壓變壓器即可將交流電升至幾千至幾十萬伏特,從而使電線上的電力損失極少。在城市內一般使用降壓變壓器將電壓降至幾萬至幾千伏以保證安全,在進戶之前再次降低至市電電壓或者適用的電壓供用電器使用。
隨著電力電子學的發展,愈來愈多長距離輸電採用高壓直流輸電(HVDC),直流電功率因素是1,效率更高。在日本,糸魚川靜岡構造線以東為50Hz、以西為60Hz,在靜岡縣與長野縣設有三處頻率轉換變電所聯網,而本州與北海道及四國間則以海底HVDC連結。
交流電相位分類
目前各國使用的交流電相位主要為單相及三相。
三相電
主條目:三相交流電
三相交流電,輸電時只有三條火線,供電給客戶時有三條火線和中線。只使用其中一條相線及中線,便是單相電。
三條火線上的正弦波各有120°相位差,主要為工業用。
ac[交流電]
ac[交流電]
ac[交流電]如果相電壓是220V,線電壓則是380V。
ac[交流電]三相電一般為三相四線。三個相線的符號為L1,L2,L3,也可以分別表示為A,B,C,分別代表相線1,相線2,相線3,L為Live Wire的縮寫,零線的符號為N,為Neutral Wire的縮寫。地線為E,為Earth的縮寫。
單相電
主條目:單相交流電
單相交流電,其電纜有一條火線和一條中線,用於一般住宅及商業樓宇。
單相電有火線和零線兩條線,火線為L,為Live Wire的縮寫,零線為N,為Neutral Wire的縮寫。地線為E,為Earth的縮寫,也可以寫作PE,為Protecting Earth的縮寫。
參看
•直流電
•輸電系統
•交流發電機
•單相電
•二相電
•三相電
•三相 (電學)
![ac[交流電] ac[交流電]](/img/c/3e5/nBnauM3XwYTNwEzNxQTM5EDN0UTMyITNykTO0EDMwAjMwUzL0EzL0EzLt92YucmbvRWdo5Cd0FmLxE2LvoDc0RHa.jpg)
