簡介
Williams-Landel-Ferry方程(簡稱WLF方程)是高分子物理中一個非常重要的經驗公式。其中, C1 、C2 作為兩個經驗參數, 取決於參考溫度Tr 的取值, 且其乘積為定值(C1·C2 ≈ 900), 與自由體積熱膨脹係數αf有關。藉助於WLF方程的變形式C1 、C2 參數有兩種不同求解方法,與由-1/ logαT 對1/(T-Tr)作圖的方法I相比較, 由-(T -Tr)/ logαT 對(T -Tr)作圖的方法II的靈敏度更高, 平均相對殘差更小,由於對(T -Tr)變化的更高的敏感回響, 導致方法II 作圖的線性相關性(相關係數)較低 。
WLF方程的推導及意義
對許多非晶態聚合物,通過把在不同溫度下得到的幾個不同時間數量級的實驗模量~溫度曲線水平位移,可以疊合成一條主曲線。在時間軸上的水平位移α符合以下關係
(1)α位移因子,τ和τ分別為溫度在T、Tr時的鬆弛時間,C、C經驗參數,Tr為參考溫度。根據位移因子α的定義,有
(2)ρ、ρ分別為溫度為T、Tr時的密度,η、ηr分別是溫度為T、Tr時的粘度。
在實驗溫度範圍內,聚合物的密度變化很小,且溫度取絕對溫標,意味著T大即ρ小,Tr小則ρr大,故(ρrTr/ρT)可近似取1,則
(3)故α就可轉化為不同溫度下的粘度比。
根據自由體積理論,某溫度下高聚物的實際體積V等於高分子本身固有的體積V及自由體積V之和。液體粘度與本身的自由體積相關,其關係
(4)A、B 為常數,f為自由體積分數V/V。實驗結果表明,對幾乎所有材料而言,B ≈1。
自由體積分數同溫度的關係
(5)fr為參考溫度Tr時的自由體積分數,α為自由體積熱膨脹係數。
由式(4)和式(5)可得
(6)比較式(6)與式(1),可得WLF方程中的C、C
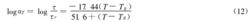
(7)(8)即C1·C2為定值,與α有關。當選擇玻璃化溫度Tg作為參考溫度時,C和C具有近似的普適值(大量實驗值的平均值):C=17.44,C=51.6。因此,可求得在玻璃化溫度Tg下的自由體積分數fg=0.025,α=4.8×10/K。
WLF 方程重要的意義在於, 低溫下測定的力學數據就可換成短時(或高頻)下的數據;另一方面高溫測定的力學數據可轉換為長時(或低頻)下的數據 。
C1、C2參數的意義
作為兩個經驗參數,式(1)中C、C取決於參考溫度Tr的取值。由式(7)可知,當認同B≈1,則C與參考溫度Tr下的自由體積分數fr有關,是一個無量綱的參數;而C不僅與參考溫度Tr下的fr有關,還與α有關,且量綱為K。
(12)當選擇Tg作為參考溫度時,由大量實驗結果的平均值得到C=17.44,C=51.6,則相應的WLF方程
除Tg外,對所有高聚物均還可以找到一個對應的特徵參考溫度Ts。此時,可得到對應的另一組參數:C=8.86,C=101.6。當選擇Ts作為參考溫度時,WLF方程為
(13)式中,Ts 因聚合物不同而異 。

