概述
1958年,費曼和蓋爾曼與馬爾薩克和蘇達珊兩組理論家幾乎同時提出了V-A理論,修改費米理論。按照V-A理論,中子與質子或中微子與電子不僅形成了矢量流(V),而且還形成了一種軸矢量流(A)。流-流耦合還是對的,只不過現在的流是矢量流與軸矢量流的組合。V和A在空間反射變換下符號的變化剛好相反,所以V-A理論中的拉格朗日函式包括的兩項在空間反射變換下符號的變化相反,變換後的拉格朗日函式與變換以前不再相同,不變性不再存在。
V-A理論儘管有許多成功之處,但它沒有改變四個粒子點作用的基本形式,因而費米理論的一些嚴重的困難問題仍然沒有得到解決。其中包括不可重整化和在高能下破壞幾率守恆。理論家們繼續探索克服這些困難的可能性。有的人建議弱作用中的這兩個流不是直接接觸,而是通過交換重的帶電粒子發生作用。這些帶電粒子自旋和光子一樣,都是1,稱為中間矢量玻色子,記為W+和W-。還有的人認為弱作用和電磁作用既然這么象,它們應該有更深刻的聯繫。
基本原理
V-A理論
V-A理論
V-A理論
V-A理論費米提出的四費米因子 、 、 、 的相互作用拉格朗日函式有直接耦合的形式,人們稱之為四費米子直接耦合理論。後來,經過人們長期分析、綜合實驗結果,加以理論的概括,推出
V-A理論其中
V-A理論
V-A理論
V-A理論
V-A理論
V-A理論
V-A理論
V-A理論
V-A理論
V-A理論
V-A理論
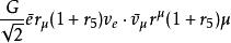
V-A理論這裡費米子包括輕子和夸克、粒子符號 、 為輕子, 、 、 表示夸克。粒子的場量,相應的為 、 、 、 和 。上式叫做費米普適V-A理論。
人們用式中的
V-A理論
V-A理論來計算過程 ,把計算結果和實驗比較,定出弱作用耦合常數
V-A理論
V-A理論其中 是質子質量。
V-A理論
V-A理論
V-A理論由於質子 由 夸克組成,中子由 夸克組成。故核子的相互作用可用夸克的相互作用形式出現。即
V-A理論
V-A理論由於夸克構成強子時,矢量形狀因子(即其耦合強度)和軸矢量形狀因子不盡相同。因而偏離了V-A形式,人們用
V-A理論
V-A理論來計算衰變過程。

