Vpal 2.0網路框架
分散式管理
V寶幣Vpal 2.0是一個大型的分散式貨幣交易網路,讓獨立系統像郵件系統一樣互聯起來。Vpal和電子郵件一樣,無主、無中心管理者。運作著開源程式的分散式伺服器就是整個Vpal2.0網路的核心。
全網共享的公開總賬
V寶幣Vpal 2.0是一個去中心化的支付系統和貨幣交易網路,除了支持原生的VRP和VBC之外,還支持所有的衍生貨幣。於核心之處,Vpal 2.0網路使用分散式資料庫管理用戶賬戶、餘額和交易條目等信息。這些存在於資料庫內的記錄,Vpal稱之為公共總賬。
然而,不同於中心化和私有的銀行總賬,Vpal2.0的資料庫橫跨全網,能夠被所有用戶共享訪問,沒有中心操作器,也不存在單點失效。
分散式網路的開源伺服器
在Vpal 2.0網路中架設一台自己的開源伺服器能夠讓用戶更加快速便捷、安全可靠地訪問Vpal網路。
每個分散式伺服器都存儲著當前整體總賬的副本。因此,用戶能夠通過此分散式網路伺服器訪問共享總賬並查看Vpal網路上所有的活動記錄
伺服器使用公私鑰密碼加密來驗證交易是否有效,如同在傳統銀行支票交易中用戶必須簽名一樣,每條在網路中的交易也會被簽上唯一的電子簽名。Vpal網路的伺服器在把一條交易添加進共享總賬之前,總會數學上驗證簽名的正確性
獨立架設的用戶應使用JSON格式的信息與伺服器進行命令互動。而架設於Vpal分散式網路的開源伺服器會為用戶處理與其他點對點網路的日常必要通信。
連線上下線的交易網關
V寶幣在Vpal 2.0中,傳統貨幣必須通過交易網關來進出分散式網路。類似於傳統銀行的存取款功能,交易網關是負責處理用戶線下賬戶存款然後發行Vpal 2.0網路等值電子餘額的通道關口。
在Vpal 2.0網路中,每種貨幣(VBC和VRP除外)都有其對應的發行網關。當用戶想從Vpal網路提取定額的線下幣種時,原相應電子貨幣的發行網關有責任為用戶兌換等值的線下資金。
遵循網路共識的交易機制
V寶幣Vpal2.0 網路上的共享總賬由全體分散式伺服器共同管理。與傳統的中心化網路操作不同的是,遍布Vpal網路的分散式伺服器遵循先進的相互共識算法來認可共享總賬上的變化。而為了改變總賬的數據,每次共識都必須被全網絕大部分連線的伺服器認可,隨後伺服器據此更新本地資料庫的副本。如果某次交易的全網共識未能達成,則交易條目會被駁回,所以無論何時,所有用戶對共享總賬的認知都是一致的。
共識機制保障了即時結算業務的方便快捷和安全可靠,極大地區分開了Vpal網路與比特幣。不同於需要挖礦競爭來驗證交易的比特幣,Vpal網路在交易過程中完全不需要消耗類似的能源資源。
基於數學的貨幣
基於數學的貨幣是指具有可以被驗證的數學特徵的電子資產,其本身如同傳統法定貨幣一樣具備價值等資產屬性,可以在沒有中央管理者的分散式網路中自由流通與交易。
在Vpal2.0網路中,存在兩種發行於網路存在之始的原生的基於數學的電子貨幣,即VRP和VBC。由於基於數學的貨幣供給量是由數學定理決定的,所以沒有人為操縱的可能。
“最廉價”的交易路徑尋找算法
V寶幣用戶使用Vpal 2.0網路進行支付轉賬時,網路將同時提供最廉價的交易兌換通道。
在某些交易網路中,成本最低的通道通常是直接的單跳數通道,即只通過一個節點來完成交易。然而,Vpal 2.0網路的轉賬支付路徑會自動尋找總成本最低的交易通道,即便此通道是一個需要越過多節點的複雜路徑。Vpal網路把包含多跳數的路徑當做一條原子交易,因此,最終的總賬會包含所有有效的交易條目。
Vpal 2.0網路特色
促進流通的貨幣橋樑VRP
V寶幣將來,完全成熟的Vpal 2.0網路會大量流通著通過各種網關發行的各式各樣的貨幣。因此,與其讓交易網關為各幣種之間的兌換提供報價,不如引入一種能夠促進流通的原生橋樑類貨幣VRP。若每種貨幣與VRP之間都能透明兌換,那么各種貨幣之間的交易都能夠便捷完成。
VRP就像人們手上的黃金,是一種連線外來網關並且沒有競爭對手的資產。原生的VRP貨幣在Vpal 2.0中遍布全網,傳送VRP到網路中的任何端點都不需要貨幣轉換和交易手續。每個錢包都需要少量單位的VRP,用戶擁有個人錢包即有機會獲得更多VRP。
V寶幣除了作為連通所有貨幣的橋樑,VRP還承擔著維護Vpal 2.0網路安全的重要職責。因為整個分散式的Vpal 2.0網路是基於全網共享總賬來管理交易狀態,所以惡意的網路攻擊者可以通過製造大量的壞賬、假帳試圖讓Vpal 2.0過載以導致總賬大到難以控制,甚至影響網路的便捷流通和即時結算能力。
為了防止過量垃圾交易影響Vpal 2.0網路的運行,在每次交易開始時,每個Vpal賬戶都被要求預留少量VRP以建立賬本條目。而當網路處理每條交易時,最低0.0001個VRP會被消耗掉,被消耗的微量VRP不會被任何人所收集。此外,交易過程中消耗的VRP費用是能夠被協定調整的。但是當全網負載過重如遭到拒絕服務攻擊時,這部分交易費用就會快速增長。所以這項設計的目標是讓惡意攻擊者的交易費用飛速增長使其面臨快速破產以維護全網功能的順暢。不過對普通用戶來說,這項交易費用基本上等同於免費。
傳承於Vpal 1.0的經典幣種VBC
VBC作為一款運行良好、表現優異,線下支撐廣泛的數學型貨幣,是除了VRP之外,唯二原生於Vpal 2.0網路的電子貨幣。其致力於普及現代電子貨幣的傳播與發展,旨在革新金融貨幣交易體系的設計與實現廣泛的民眾基礎。同時,已宣布與VBC展開合作關係的龐大線下物聯網路將會給VBC帶來更加堅實的貨幣貿易支撐。
Vpal 2.0網路將對原Vpal1.0用戶的持幣量進行無縫過渡,將這款經典幣種繼續傳承發展。
VRP和VBC的發行規則
VRP:
在註冊新錢包時,需要消耗一定數量的VRP(最低0.0001個單位)。
在支付轉帳時(包括VBC和VRP),需要支付轉賬數量的0.1%個單位的(最低0.0001個單位)VRP作為轉帳手續費。意味著用戶轉賬0.001個單位的VBC也會被扣除0.0001個單位的VRP。若用戶錢包內VRP數量不足,則系統將提示轉賬不成功。
註冊和支付時消耗的微量VRP並不會被任何人所收集。
VRP首期發行200萬,最終數量為1000萬個。
VRP的發行依賴於VBC,每個至少存有1個單位VBC幣種的錢包每天能夠產生其VBC總量的0.1%個VRP。但是如果用戶錢包內的VBC數量不足1個單位,則不會生成VRP。
VRP總量達到1000萬個後將不再發行,但如果VRP在註冊和支付時被消耗,數量減少,系統又將繼續發行以保持總數量為1000萬個。
VBC:
依照RTXP開源協定,前半年月增長10%,隨後三年月增長5%,再三年月增長3%,最後保持月增長1%,直到10億枚發行完畢。
分紅增值
V寶幣VBC基於RTXP協定的開源算法產生,總數10億個,首期1000萬個,前半年月增長10%,隨後三年月增長5%,再三年月增長3%,最後保持月增長1%,直到10億枚發行完畢。每次產出總數的50%用於用戶的分紅獎勵,另外50%用於用戶的推廣獎勵。
VBC為VBC幣的總發行量,A為分紅獎勵,B為推廣獎勵
每日新發行VBC幣,其中50%對全網擁有至少1個單位VBC幣種的用戶,依據其錢包的VBC持有量排名產生算力,排名越靠後算力越高,分配也越多。
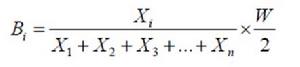
V寶幣M為VBC幣的持有量排名,W為全網該次VBC幣總發行量
推廣增值
V寶幣每日新發行VBC幣,另外50%依據連結用戶群占總算力比例自動分配。
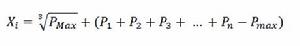
V寶幣X為該用戶點傳播力,W為全網該次VBC幣總發行量
V寶幣為最大的一個接入點的VBC幣的數量,P為普通接入
結語
基於RTXP協定的Vpal2.0網路旨在建立一個連同全球金融並共生共享的金融交易結算系統。
由於缺失一種便捷高效的國際支付通道,當今傳統的國際跨行轉賬依賴的銀行網際網路會帶來多層多次的手續費用、風險以及結算延遲。基於RTXP協定的Vpal 2.0網路移除了傳統銀行網際網路帶來的費用,讓全球任意的兩個支付節點都能實現即時兌換和交易。並且自2009年出現比特幣後,如何對非挖礦類貨幣實現公平分布成為密切關注的問題,Vpal 2.0對此給出了解決方案。
Vpal 2.0是一個“資產中性”的支付系統(原生於網路的VRP和VBC貨幣具備其自身的資產價值,且由於根植於網路,不同於傳統美元由美聯儲發行,VRP和VBC不存在任何對手發行機構),可以支付、接受、貯存任何貨幣,包括美元、歐元、人民幣等等法幣,也包括比特幣、萊特幣等等虛擬貨幣,甚至包括黃金、白銀等金屬貨幣
Vpal 2.0讓支付和交易更低廉、更市場化,任何貨幣之間的交易和支付都由市場自身調節,選取最優最廉的交易渠道,沒有中央機構可以強行收取中間費用
Vpal 2.0的支付更快速更便捷,相對於比特幣耗時1小時的6次確認,Vpal 2.0的確認只需幾秒鐘;相比國際匯款有時長達幾天的轉賬時間,Vpal 2.0沒有國界限制,同樣只需幾秒
Vpal 2.0讓更多用戶受益。不同於其他貨幣僅是“挖礦者”受益,Vpal 2.0的推廣算力算法讓所有推廣者都能獲得相應收益。
涉嫌傳銷
2014年9月17日,騰訊財經欄目《稜鏡》發表文章《“虛擬貨幣”V寶傳銷騙局:10萬玩家暴富夢》。文中稱,自稱比特幣2.0版本的“虛擬貨幣”V寶應運而生,吸引了江浙一帶數以10萬的玩家,不惜借債買入。然而,V寶並不具備虛擬貨幣的開源特徵,其上線下線分成模式更是被法律專家斥為傳銷。但儘管這樣,V寶的玩家們仍然抱著暴富的夢想,不願醒來。

