物理層結構
1.1物理層模型
圖1表示UE側下行鏈路物理層模型,下行鏈路信令結構基於相關的共享物理控制信道和專用物理信道,圖中的傳輸格式和相關資源指示(TFRI)、HARQ、上行同步和發射功率控制(TPC)等相關下行信令信息均在HS-SCCH中傳輸,此外HS-SCCH還承載UE標識(UE-ID)的傳輸。
TD-HSDPA基本結構圖1UE側下行鏈路物理層模型
(1)UE-ID用於標識當前控制信息所屬的用戶終端(UE),當UE接收到需要接收HS-DSCH數據的高層信息後,開始連續監聽HS-SCCH信道,最多需要監聽4個HS-SCCH信道,尋找屬於自己的控制信息,當獲得此信息後,開始接收HS-PDSCH的數據。
(2)TFRI主要包括碼字和時隙分配信息、調製方案信息和傳輸塊大小。分別用於指示當前給UE分配HS-PDSCH所用的碼字和所處的時隙位置,指明HS-PDSCH下一個TTI數據的調製方案是QPSK還是16QAM以及傳輸塊的大小。碼字分配信息表明HS-PDSCH使用的信道化碼,為了簡單,要求可用的信道化碼是連續分配的,這樣便可定義介於一個起始碼字和一個結束碼字中間的所有碼字。
(3)HARQ相關信息包括HARQ的進程信息(3bit)、冗餘版本(RV)信息(3bit)和新數據指示(1bit)。冗餘版本信息可以指示數據分組的HARQ類型,例如是否採用增量冗餘、分組是否具有自解碼能力。這裡,16QAM調製方案還包括星座信息、指示星座重排的方案。新數據指示用於說明此數據是新數據還是重發數據。
(4)上行同步:2bit的同步偏移(SS)欄位,用於維持相關HS-SICH的同步。
(5)傳輸功率控制:2bit的傳輸功率控制(TPC)欄位,用於控制相關的HS-SICH的功率。
UE接收HS-DSCH信道的數據必須在HS-SCCH控制信息的配合下才能完成。HS-SCCH被所有發起HSDPA業務的UE所共享,但對單個HS-DSCHTTI來說,每個HS-SCCH只為一個UE承載HS-DSCH相關的下行信令。UE通過接收HS-SCCH中的控制信令訊息,可以知道何時接收HS-DSCH。在一個UE上最多可以使用一組4個HS-SCCH控制信道,UE要連續監聽所有這些HS-SCCH。在任何一個指定的TTI,這些HS-SCCH中至多有一個能夠被該UE使用。如果一個UE監測到某個HS-SCCH上有傳輸給它的控制信息,它會在下一個TTI內接收該HS-SCCH控制信息。
圖2給出了UE側上行鏈路的物理層模型,UE使用HS-SICH傳輸ACK/NACK和信道質量指示(CQI)信息。下行鏈路中HS-SCCH和上行鏈路中HS-SICH的關係是在HS-SCCH上預先定義的。
(1)ACK/NACK:用於支持HARQ的反饋信息,信息比特為1bit。如果下行HS-DSCH上傳送的數據塊被UE正確接收,ACK(bit“1”)將被傳送給NodeB,否則UE將NACK(bit“0”)傳送給NodeB。UE可以通過CRC校驗來檢測傳輸塊集中的錯誤。
TD-HSDPA基本結構圖2UE側上行鏈路物理層模型
(2)CQI:用於指示當前信道質量,幫助NodeB根據UE所處的信道條件選擇合適的調製和編碼方式。
(3)TPC:HS-SICH攜帶2個TPC比特,它是UE根據接收到的HS-SCCH的信乾比(SIR)設定的。
1.2物理信道
1.HS-PDSCH
HS-DSCH映射到一個或多個HS-PDSCH。HS-PDSCH的擴頻因子可以採用1或者16。對支持多載波的UE,HS-PDSCH可以在多個載波上同時傳送,高層分給同一用戶的HS-PDSCH所在的多個載波應該是連續的。如果UE只支持單載波,高層僅分配一個載波的HS-PDSCH資源,並且該載波與伴隨的DPCH在同一載波上。
HS-DSCH傳輸信道還具有如下屬性。
①傳輸塊大小:首次傳送自動分配,重傳必須使用相同的傳輸塊大小,不支持盲傳輸格式檢測。
②傳輸塊集大小:每個傳輸塊集只包括一個傳輸塊。
③傳輸時間間隔(TTI):固定等於5ms。
④編碼參數:1/3碼率的Turbo碼。
⑤調製參數:初始傳輸和重傳時均使用動態分配方式,UE強制支持QPSK,是否支持16QAM取決於UE的能力。
⑥冗餘版本:動態。
⑦CRC大小:固定大小24bit,每個TTI中有一個CRC,也就是每個傳輸塊集有一個CRC。
(1)HS-PDSCH的時隙格式(如表1所示)
表1HS-PDSCH的時隙格式
| 時隙 格式 | SF | Midamble 長度(chip) | NTFCI碼字 (bit) | NSS&NTPC (bit) | 每時隙 比特數 | Ndata/slot (bit) | Ndata/datafield(1) (bit) | Ndata/datafield(2) (bit) |
| 0(QPSK) | 16 | 144 | 0 | 0&0 | 88 | 88 | 44 | 44 |
| 1(16QAM) | 16 | 144 | 0 | 0&0 | 176 | 176 | 88 | 88 |
| 2(QPSK) | 1 | 144 | 0 | 0&0 | 1408 | 1408 | 704 | 704 |
| 3(16QAM) | 1 | 144 | 0 | 0&0 | 2816 | 2816 | 1408 | 1408 |
TD-HSDPA基本結構圖3 HS-PDSCH的信道編碼及復用
(2)HS-PDSCH的編碼和復用
由於TD-HSDPA中引入了AMC和HARQ等技術,使得HS-PDSCH信道與原有信道有很大不同,其編碼過程就有差異。HS-PDSCH編碼復用過程如圖3所示。
①加CRC:每個TTI內,傳輸塊都需要計算和附加長度為24bit的CRC校驗比特。
②碼塊分割:需要注意HS-DSCH上只有一個傳輸塊,且對於Turbo編碼,最大的碼塊大小為5114bit。
③信道編碼:使用1/3速率的Turbo碼。
④物理層HARQ功能模組:HARQ功能模組的作用是使編碼後的總比特數和承載HS-DSCH的HS-PDSCH上的總比特數相匹配。HARQ由冗餘版本(RV)參數來控制。詳細介紹見本節後面內容。
⑤交織:過程與R4中時隙相關的第二次交織相同,列數確定為30。圖4給出了HS-DSCH交織器的結構。對於16QAM,第二個獨立的交織器和第一個交織器並行工作。對於這兩個交織器,R2需要選取為滿足R≤60(R2的最小整數,而不再是R≤30(R2的最小整數。從比特加擾操作得到的輸出比特成對分給兩個交織器。比特sk和sk+1被送入第一個交織器,比特sk+2和sk+3被送入第二個交織器,其中kmod4=1。比特從交織器輸出後也成對重組。比特vk和vk+1從第一個交織器得到,比特vk+2和vk+3從第二個交織器得到,其中kmod4=1。
TD-HSDPA基本結構圖4HSDPA的交織器結構
⑥16QAM下的星座重排:星座重排只針對16QAM調製方式,表3-3描述了產生不同重排操作的方式,假設輸入比特為vkvk+1vk+2vk+3,其中kmod4=1。16QAM調製的映射關係如圖5所示。
表216QAM下的星座重排
| 星座版本參數b | 輸出比特序列 |
| 0 | vkvk+1vk+2vk+3 |
| 1 | vk+2vk+3vkvk+1 |
| 2 | |
| 3 |
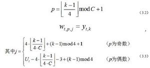
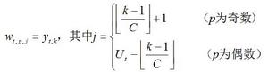
⑦物理信道映射:物理信道映射的輸入比特表示為r1,r2,…,rR,其中R是指這個分配的TTI內物理信道承載的比特數。這些比特映射到物理信道的比特wt,p,j上,其中t=1,2,…,T,p=1,2,…,C,j=1,2,…,Ut,其中t是指時隙編號,T是指分配訊息中的時隙數目,p是指物理信道序號,C是指分配訊息中每個時隙的碼道數目,j是指物理信道比特的序號,Ut是指時隙t中每個物理碼道上的比特數目。
TD-HSDPA基本結構圖5 16QAM調劑程作圖
比特rk映射到物理信道上的規則如下。
定義{yt,k:k=1,2,…,C·Ut}是時隙t中要傳送的比特集合
TD-HSDPA基本結構(3.1)
當物理信道的調製方式為16QAM時,傳輸yt,k的物理信道序號
TD-HSDPA基本結構當物理信道的調製方式為QPSK時,傳輸yt,k的物理信道序號
p=(k−1)modC+1 (3.4)
TD-HSDPA基本結構(3.5)
(3)物理層HARQ功能模組
HARQ功能模組的作用是使編碼後的總比特數和承載HS-DSCH的HS-PDSCH上的總比特數相匹配。HARQ由RV參數來控制,輸出的確定比特集合決定於輸入比特數、輸出比特數,以及RV參數。HARQ功能模組包括兩次速率匹配和一個虛擬快取器,如圖6所示。
TD-HSDPA基本結構圖6HS-DSCH的HARQ功能
第一次速率匹配用來使輸入比特數目匹配於虛擬快取器,相關的信息由高層提供。需要注意的是,如果輸入比特數目不超過虛擬IR快取器的能力,則第一次速率匹配實現為透明。第二次速率匹配用來使第一次速率匹配後的比特數匹配於該TTI上的HS-PDSCH承載的物理碼道比特數目。
①HARQ比特分離。與R4中Turbo編碼的傳輸信道比特分離方式相同。
②HARQ第一次速率匹配。
HS-DSCH傳輸信道的HARQ第一次速率匹配和R4中描述的方法相同,並使用下列特定的參數。虛擬IR快取器中能存儲的軟比特最大數為NIR,並且該數值對每個HARQ進程都由高層通過信令通知。在速率匹配之前一個TTI內的編碼比特數目為NTTI,這個值是由高層傳送的信息以及HS-SCCH承載的關於這個TTI的參數推算出的。需要注意的是,HARQ的處理和物理層的存儲都是針對當前激活的每個HARQ進程獨立進行的。
如果NIR≥NTTI,則表示第一次速率匹配的實現是透明的,這可以通過設定emin=0來實現。需要注意的是,第一次速率匹配不需要進行重複匹配。
TD-HSDPA基本結構如果NIR<NTTI,就可以通過設定速率匹配參數 把校驗比特流打孔,這裡的i和l分別指傳輸信道和傳輸格式。需要注意的是,負值代表速率匹配需要進行打孔的操作。
③HARQ第二次速率匹配。
HS-DSCH傳輸信道的HARQ第二次速率匹配使用下列特定參數。
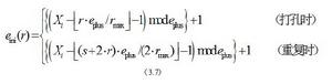
第二次速率匹配的參數主要由RV參數s和r來決定。參數s可以取值0或者1,用來區分傳輸中系統比特優先(s=1)還是非系統比特優先(s=0)。參數r(取值範圍從0到rmax−1)在打孔處理時可以改變速率匹配參數eini的初始值。重複處理時參數r和s一起改變eini的初始值。參數Xi,eplus和emin的計算如表3所示。
表3HARQ第二次速率匹配參數
| Xi | eplus | emin | |
| 系統比特數 RMS | Nsys | Nsys | |Nsys−Nt,sys| |
| 校驗比特1 RMP1_2 | Np1 | 2·Np1 | 2·|Np1−Nt,p1| |
| 校驗比特2 RMP2_2 | Np2 | Np2 | |Np2−Nt,p2| |
TD-HSDPA基本結構第二次速率匹配之前的系統比特數表示為Nsys,校驗比特1的數目為Np1,校驗比特2的數目為Np2。對於HS-DSCH,使用的時隙數目表示為T,每時隙的碼道數目為C,時隙t中可以承載的比特數目為Ut,這樣就有Ut=C´NData/Slot,對於不同的時隙格式,NData/Slot的值是不同的,參見3GPPTS25.221。NData是HS-DSCH一個TTI內承載的比特數,定義為 。
當Ndata≤Nsys+Np1+Np2時,第二次速率匹配執行打孔操作。傳送的系統比特數目為:
TD-HSDPA基本結構當Ndata>Nsys+Np1+Np2時,第二步速率匹配要執行重複操作。
按照配置傳送的系統比特數目為
TD-HSDPA基本結構,傳送的校驗比特1的數目是
TD-HSDPA基本結構,傳送校驗比特2的數目是
TD-HSDPA基本結構。這樣則可以使各個數據流得到近似相同的重複率。
速率匹配參數eini根據RV參數s和r針對每個比特流進行計算:
TD-HSDPA基本結構其中,rmax是r的總的冗餘版本個數,它依據調製方式來變化,對於16QAM,rmax=2,對於QPSK,rmax=4。
2.HS-SCCH
(1)HS-SCCH的編碼復用
HS-SCCH沒有特有的時隙格式,它使用DPCH下行時隙格式中的時隙格式0和時隙格式5。如表4所示。DPCH的所有下行時隙格式見3GPPTS25.221中5A.2.2.4.1.1。
表4下行時隙格式
| 時隙 格式 | SF | Midamble 長度(chip) | NTFCI碼字 (bit) | NSS&NTPC (bit) | bit/時隙 | NData/Slot (bit) | Ndata/datafield(1) (bit) | Ndata/datafield(2) (bit) |
| 0 | 16 | 144 | 0 | 0&0 | 88 | 88 | 44 | 44 |
| 5 | 16 | 144 | 0 | 2&2 | 88 | 84 | 44 | 40 |
HS-SCCH的信息欄位復用形成一個單一的43bit欄位,然後使用1/3速率的卷積編碼器進行編碼,其卷積編碼塊大小為153bit。編碼塊分別映射到兩個突發中,其中一個使用時隙格式5,含有84bit的有效載荷以及HS-DSCH的TPC和SS比特;另一個使用時隙格式0,含有88bit的有效載荷。用速率匹配算法調整編碼塊大小,使其適應實際的時隙載荷。HS-SCCH的信道編碼過程如圖7所示。
TD-HSDPA基本結構圖7HS-SCCH的信道編碼過程
(2)HS-DSCH/HS-SCCH伴隨和定時
HS-DSCH總是伴隨一個下行DPCH和一個HS-SCCH集,一個HS-SCCH集中可以有1到4個HS-SCCH,所有相關的物理層控制信息都在伴隨的HS-SCCH上傳送。
HS-DSCH相應的時隙信息在本子幀或者上一個子幀的HS-SCCH上攜帶,攜帶HS-DSCH相應信息的HS-SCCH和第一個指示的HS-PDSCH之間有一個nHS-SCCH≥3時隙的偏移,如圖8所示。
TD-HSDPA基本結構圖8對一UE不同無線幀配置的HS-SCCH和HS-DSCH定時
3.HS-SICH
(1)HS-SICH的編碼復用
HS-SCCH沒有特有的時隙格式,它使用DPCH上行時隙格式中的時隙格式5。如表5所示。DPCH的所有上行時隙格式見3GPPTS25.221中5A.2.2.4.1.2。
表5上行時隙格式
| 時隙 格式 | SF | Midamble 長度(chip) | NTFCI碼字 (bit) | NSS&NTPC (bit) | bit/時隙 | NData/Slot (bit) | Ndata/datafield(1) (bit) | Ndata/datafield(2) (bit) |
| 5 | 16 | 144 | 0 | 2&2 | 88 | 84 | 44 | 40 |
HS-SICH映射到時隙格式5,將HS-SICH的ACK/NACK欄位重複編碼為36bit。使用(32,6)的一階Reed-Muller碼將CQI傳輸塊大小欄位的6bit編碼為32bit,調製格式的1bit也重複編碼為16bit。然後,將編碼復用並插入到時隙載荷中。HS-SICH的編碼過程如圖9。
TD-HSDPA基本結構圖9HS-SICH的信道編碼過程
(2)HS-SCCH/HS-DSCH/HS-SICH伴隨和定時
HS-SCCH總是伴隨一個HS-SICH,HS-SCCH在下行和HS-SICH在上行的伴隨關係需要在高層預定義,並且這種伴隨關係對所有UE是公共的。
HS-PDSCH和承載其ACK/NACK信息的HS-SICH之間有一個nHS-SICH≥9時隙的偏移,因此,HS-SICH傳輸總是在HS-DSCH後隔一個子幀進行,如圖10所示。
TD-HSDPA基本結構圖10對一UE不同無線幀配置的HS-SICH和HS-DSCH定時
MAC層結構
與R4版本TD-SCDMA系統相對比,對高層的修改主要在NodeB和MAC層,而RLC和PDCP沒有做任何改動。TD-HSDPA主要是通過修改空中接口來增強系統的性能,並考慮快速的操作和調度,所以主要操作都在終端UE和NodeB的物理層和MAC層完成。
無論在UE側還是NodeB側,MAC層最重要的變化就是增加了MAC-hs實體,相關HS-DSCH的MAC操作都在這裡完成。除了必要的流控制和優先權處理之外,還包括HARQ協定的相關操作,包括調度、重傳、重排等。
2.1NodeB側MAC實體
在R99的MAC結構基礎上,NodeB添加了一個MAC-hs功能實體。如果一個HS-DSCH被分配給了一個終端UE,那么就要產生MAC-hsPDU,在使用了MAC-c/sh的配置情況下,要傳輸的MAC-hsPDU、MAC-dPDU通過Iub接口從MAC-c/sh傳輸到MAC-hs。在沒有使用MAC-c/sh的配置情況下,傳輸的數據通過Iur/Iub接口從MAC-d傳輸。NodeB側整體MAC結構如圖11所示。
HS-DSCH在NodeB側的復用鏈如圖12所示。
1.MAC-c/sh結構
HS-DSCH的數據會受到SRNC和DRNC之間的流控,因而在MAC-d和MAC-hs之間引入了一個新的流控功能實體MAC-c/sh,用來支持MAC-d和MAC-c/sh間的數據更新。NodeB側的MAC-c/sh結構如圖13所示。
2.MAC-hs結構
NodeB側的MAC-hs結構如圖14所示。
MAC-hs負責處理HS-DSCH上的數據傳輸,管理分配HS-DSCH上的物理資源。MAC-hs通過MAC控制SAP從RRC層得到配置參數。在MAC-hs中處理每個MAC-dPDU時會有優先權操作。
TD-HSDPA基本結構圖11NodeB側的MAC整體結構圖
TD-HSDPA基本結構圖12NodeB側的MAC復用鏈
MAC-hs包括流控制、調度/優先權處理、HARQ、TFRC選擇4個功能實體。
(1)流控制實體:在使用MAC-c/sh的配置情況下,MAC-hs中的流控制是和MAC-c/sh的流控制伴隨在一起的功能實體,它們一起提供數據流的控制。在不使用MAC-c/sh的配置情況下,MAC-hs和MAC-d兩個功能實體一起提供數據流的控制。MAC-c/sh和MAC-d以一種動態方式考慮了空中接口的傳輸能力。流控制的主要目的是減小L2的時延,減少數據丟失和由於HS-DSCH重傳而引起的擁塞。流控制是根據每個HS-DSCH的優先權獨立進行的。
TD-HSDPA基本結構圖13NodeB側的MAC-c/sh實體結構圖
TD-HSDPA基本結構圖14NodeB側的MAC-hs實體結構圖
(2)調度/優先權處理實體:根據HARQ實體和數據流的優先權來管理HS-DSCH的資源。根據相關的上行信令信道的狀態報告決定是傳新的數據還是重傳,並且還要為新數據塊設定優先權標誌和TSN。為了保持適當的傳輸優先權,在任何時候HARQ進程都可以發起一個新的傳輸。在HS-DSCH中,TSN對應於一個唯一的優先權,並且對於每個新的數據塊的優先權都是遞增的。如果在HARQ層發起重傳,那么在同一個TTI內就不允許安排一個新的傳輸,其中包括由RLC層所發起的重傳。
(3)HARQ實體:一個HARQ實體處理一個用戶的HARQ功能。一個HARQ實體可以處理多進程的SAWHARQ協定。每個TTI只能有一個HARQ進程。
(4)TFRC選擇實體:選擇一個數據在HS-DSCH上傳輸的適當的TFC。
2.2UE側MAC實體
UE側MAC整體結構如圖15所示,將HS-DSCH上接收到的數據映射到MAC-hs。RRC通過MAC控制SAP配置MAC-hs實體,設定MAC-hs實體中的參數,就像配置MAC-c/sh和MAC-d實體一樣。MAC-hs相關的下行信令攜帶了支持HS-DSCH的信息,相關的上行信令攜帶相應的反饋信息。
TD-HSDPA基本結構圖15UE側的MAC整體結構圖
1.MAC-d結構
MAC-d實體的結構發生了改變,MAC-d實體可以與MAC-hs實體或者MAC-c/sh實體相連。連線MAC-hs和MAC-c/sh的鏈路不能同時在一個UE中配置。UE側的MAC-d結構如圖16所示。
MAC-d實體中C/T復用實體和MAC-hs實體中重排隊快取之間的映射由上層來配置。每個重排隊快取對應映射到一個C/T復用實體,多個重排隊快取可以映射到同一個C/T復用實體中。圖17是UE側MAC-hs實體之間工作的簡化示意圖。
2.MAC-hs結構
MAC-hs實體處理一些與HS-DSCH相關的功能。UE側的MAC-hs結構如圖18所示。
TD-HSDPA基本結構圖16UE側的MAC-d實體結構圖
TD-HSDPA基本結構圖17UE側MAC-hs實體間工作簡圖
UE側的MAC-hs包含4個實體,具體說明如下。
(1)HARQ實體:負責處理HARQ協定,處理和HARQ相關的任務,例如處理ACK/NACK、HARQ協定的配置細節是RRC通過MAC控制SAP來進行的。每個TTI內,各個HS-DSCH有一個HARQ進程。
(2)重排序佇列分發實體:根據佇列號(Queue-ID)將MACPDU分送到不同的重排序實體中。
TD-HSDPA基本結構圖18UE側的MAC-hs實體結構圖
(3)重排序實體:每個優先權和傳輸信道都有一個重排序實體,它通過接收到的TSN對數據塊排序。將TSN連續的數據塊包上報給高層,對於TSN不連續數據塊通過使用定時機制傳遞給給高層。
(4)拆分實體:該實體負責拆分MACPDU,將MAC-hs包頭和填充比特去掉之後的MAC-dPDU上報給高層。
需要說明的是:
(1)一個MAC-hsPDU只包含來自相同MAC-d流的具有相同優先權的MAC-dPDU。
(2)在一個給定的MAC-hsPDU內可支持不同的MAC-dPDU大小。
參考文獻
1 李世鶴.TD-SCDMA第三代移動通信系統標準.北京:人民郵電出版社,2003
2 關山,張新程,等.HSDPA網路技術.北京:機械工業出版社,2007
3 趙紹剛,周興圍,等.HSDPA技術及其演進.北京:人民郵電出版社,2007
