傳輸體制
國際上已有的地面電視傳輸體制均未能徹底解決移動和便攜接收的難題。如何解決在高速移動和城市樓群的遮蔽中穿行時的信號重入/再同步問題、廉價地構建蜂窩單頻網(Cellular SFN),是技術焦點。在時間域與頻率域中充分利用現代信號處理技術,實現寬頻數據傳輸和優良的同步/跟蹤,是SMCC系統考慮的首要問題。
SMCC系統由頻域多載波處理COFDM、時域CDMA處理和SFN碼流同步三部分組成,其中,多載波處理部分與通常COFDM部分的結構相同,但本方案對其工作參數做了創新的最佳化配置;時域處理和SFN碼流同步部分體現了本方案的特點。SMCC的技術特點如下:
(1)具有最佳化參數的4K多載波技術
SMCC方案採用4K傳輸模式,基於3648點的多載波體制,可以構建各種類型的單頻復蓋網,特別適宜構建分散式蜂窩單頻網。其設計主要針對小區蜂窩單頻網,同時還為實現大區單頻網配置了較長保護時隙長度的傳輸模式。
SMCC採用級聯信道編碼方式。外碼採用RS(206,188,t=9)的分組編碼,內碼採用可變碼率的卷積碼/TCM/Turbo-TCM編碼。為抵抗突發乾擾,在RS編碼後採用同步卷積深度外交織方案。
信號以分幀方式傳輸。利用OFDM的時/頻二維特性,在每幀插入連續導頻、分布導頻、傳輸參數信令(TPS)導頻等參考信號。連續導頻和分布導頻採用BPSK方式調製,且以比數據載波平均電平高2.5dB的電平發射。
信號調製採用可變的映射星座方式,包括均勻和多解析度的星座圖,以適應不同數據率的碼流傳輸。
(2)時—頻並行的擴頻技術
SMCC方案採用時—頻並行擴頻(CDMA)技術,以克服在移動接收時都卜勒頻移、運動(空間/時間)衰落、穿越陰影遮蔽等對同步的嚴重影響。引入(時域)長序列擴頻信號的高相關能量積累效應,以實現準確的同步檢測。
(3)周期性時域連續導頻技術
在DVB-T及ISDB-T標準中,為解決連續4個OFDM符號(一個導頻循環)的有效導頻數目相等問題,連續導頻的頻率選擇是隨機的,無法形成“統一”的、有意義的時域連續導頻信號。本協定中將連續導頻的頻率分布均勻化,使連續導頻的子載波號均置為57的整倍數。即以57個OFDM符號為周期,形成SMCC方案的TPS信令周期。在此基礎上定義以公式Φ(n,m,Gi)表述的“以57個OFDM符號為周期的逐幀相位級進補償”,形成周期為119.913705kHz的時域連續導頻參考信號,為時域同步和高精度快速都卜勒跟蹤創造了條件。
在接收端,採用“微弱信號檢測”領域高性能“同步濾波”方式(稱之為“循環CDMA同步濾波”)的專有技術,提取時域連續導頻。
(4)系統傳輸流的整秒精確同步技術
在準備“多基站SFN”同播所用的TS復用流時,應按該網播出規定的碼流速率嚴格控制。在DVB-T或DMB-T SFN中,由於其為非整數,控制很困難,需專用設備。SMCC方案將該數值最佳化置整,使蜂窩單頻網同步高度簡化。具體而言,對授時符號/系統同步的處理,在每個OFDM符號中納入整數個TS包,並且在每一秒時段內對保護時隙所有不同情況均完全精確地納入整數個OFDM符號。從而,對授時符號的定秒插入成為可能。源TS流內每秒加入2個“源授時包”。源授時包(其數據結構不必與基站授時包全同)具有絕不混淆且易於檢出的特徵欄位,以便各基站據之進行信號流的“流經傳送瞬刻”的精確同步控制,其精度約為±0.2μs。
SMCC的技術實現複雜度與DVB-T相近,但具有更大的系統潛力。其接收端技術可由廠家針對套用需求,分級實施。全面實施則有助於快速同步、高速移動下的頻率跟蹤和提高系統同步/鎖相的穩健性,充分發揮系統潛力。
基於SMCC技術的數位電視地面無線傳輸網構建了國內外現有技術所難以達到的分布化、基站化、雙向化數位電視地面無線傳輸的新體制,是對現有數位電視地面無線傳輸方法的革新,可以滿足現代社會信息化事業的要求。
表面活性劑
表面活性劑SMCC是一種多功能添加劑.它可用作油田鑽井完井用的水泥添加劑,使添加後的水泥可以在不洗去鑽井泥漿的情況下直接固並,保證水泥強度.它能使水泥和
牯土很好地結合,可用作普通水泥的強化劑.其次,出於其分散作用、桶滑作用和降失水作用,它還可以用作鑽井泥漿的活釋劑,使其在260℃以上仍具有很好的稀釋作用.此外,它還可把水中的Ca 、Fe等離子清除掉t所以是很好的水質穩定劑.在高墨鍋爐給水系統中,它還可用作阻垢劑,在皮革行業中它也是一種優良的皮革鞣劑。
偶聯劑
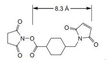
SMCC相對分子質量334.3,分子一端的NHS酯基團與某一蛋白質分子的伯氨反應形成穩定的醯胺鍵,另一端(馬來醯亞胺基團一端)可與另一蛋白質分子的巰基發生特異性交聯。
NHS活性酯與伯胺在PH7-9的環境形成醯胺鍵。馬來醯亞胺與巰基在PH6.5-7.5的環境下形成穩定的硫醚鍵。在水溶液中,NHS活性酯的水解是(與氨基的反應)個競爭反應。馬來醯亞胺比NHS穩定,但是在PH大於7.5時,馬來醯亞胺會慢慢水解,失去與巰基反應的特異性。因而,在使用SMCC時通常是在PH7.2-7.5的環境下進行,並且先讓NHS發生反應。
SMCC結構里的環己烷環可以降低馬來醯亞胺的水解速率。這使得蛋白質在用SMCC修飾之後可以凍乾存放一段時間。很多蛋白質都選用該試劑來進行馬來醯亞胺修飾。
用SMCC來製備抗體-酶或者半抗原作載體的蛋白質,經常採用兩步合成法。首先,含有氨基的蛋白質與幾倍的偶聯劑反應,反應結束後通過脫鹽柱或者透析的方法除掉沒有反應完的SMCC。然後,再與含有巰基的蛋白質反應。在實際操作中要注意的是,SMCC怕潮濕,存放時要和乾燥劑一起存放。並且使用中從冰櫃拿出來時要先在室外放置一段時間平衡溫度,以免立刻開啟,空氣中水分遇冷凝結,破壞SMCC 結構。

