概述
PERT網路是一種類似流程圖的箭線圖。它描繪出項目包含的各種活動的先後次序,標明每項活動的時間或相關的成本。對於PERT網路,項目管理者必須考慮要做哪些工作,確定時間之間的依賴關係,辨認出潛在的可能出問題的環節,藉助PERT還可以方便地比較不同行動方案在進度和成本方面的效果。
構造PERT圖,需要明確四個概念:事件、活動、鬆弛時間和關鍵路線。
1、事件(Events)表示主要活動結束的那一點;
2、活動(Activities)表示從一個事件到另一個事件之間的過程;
3、鬆弛時間(slack time)不影響完工前提下可能被推遲完成的最大時間;
4、關鍵路線(Critical Path)是PERT網路中花費時間最長的事件和活動的序列。
基本要求
1.完成既定計畫所需要的各項任務必須全部以足夠清楚的形式表現在由事件與活動構成的網路中。事件代表特定計畫在特定時刻完成的進度。活動表示從一個事件進展到下一個事件所必需的時間和資源。應當注意的是,事件和活動的規定必須足夠精確,以免在監視計畫實施進度時發生困難。
2.事件和活動在網路中必須按照一組邏輯法則排序(工藝邏輯或組織邏輯),以便把重要的關鍵路線確定出來。這些法則包括後面的事件在其前面的事件全部完成之前不能認為已經完成,不允許出現“循環”,就是說,後繼事件不可有導回前一事件的活動聯繫。
3.網路中每項活動可以有三個估計時間。就是說,由最熟悉有關活動的人員估算出完成每項任務所需要的最樂觀的、最可能的和最悲觀的三個時間。用這三個時間的估算值來反映活動的“不確定性”,在研製計畫中和非重複性的計畫中引用三個時間估算是鑒於許多任務所具有的隨機性質。但是應當指出的是,為了關鍵路線的計算和報告,這三種時間估算應當簡化為一個期望時間和一個統計方差σ ,否則就要用單一時間估算法。
4.需要計算關鍵路線和寬裕時間。關鍵路線是網路中期望時間最長的活動與事件序列。寬裕時間是完成任一特定路線所要求的總的期望時間與關鍵路線所要求的總的期望時間之差。這樣,對於任一事件來說,寬裕時間就能反映存在於整個網路計畫中的多餘時間的大小。
計算特點
PERT首先是建立在網路計畫基礎之上的,其次是工程項目中各個工序的工作時間不肯定,過去通常對這種計畫只是估計一個時間,到底完成任務的把握有多大,決策者心中無數,工作處於一種被動狀態。在工程實踐中,由於人們對事物的認識受到客觀條件的制約,通常在PERT中引入機率計算方法,由於組成網路計畫的各項工作可變因素多,不具備一定的時間消耗統計資料,因而不能確定出一個肯定的單一的時間值。
在PERT中,假設各項工作的持續時間服從β分布,近似地用三時估計法估算出三個時間值,即最短、最長和最可能持續時間,再加權平均算出一個期望值作為工作的持續時間。在編制PERT網路計畫時,把風險因素引入到PERT中,人們不得不考慮按PERT網路計畫在指定的工期下,完成工程任務的可能性有多大,即計畫的成功機率,即計畫的可靠度,這就必須對工程計畫進行風險估計。
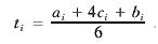
在繪製網路圖時必須將非肯定型轉化為肯定型,把三時估計變為單一時間估計,其計算公式為:
PERT式中:
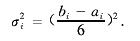
ti為i工作的平均持續時間; ai為i工作最短持續時間(亦稱樂觀估計時間); bi為i工作最長持續時間(亦稱悲觀估計時間); ci為i工作正常持續時間,可由施工定額估算。其中,ai和bi兩種工作的持續時間一般由統計方法進行估算。
三時估算法把非肯定型問題轉化為肯定型問題來計算,用機率論的觀點分析,其偏差仍不可避免,但趨向總是有明顯的參考價值,當然,這並不排斥每個估計都儘可能做到可能精確的程度。為了進行時間的偏差分析(即分布的離散程度),可用方差估算:
PERT式中:σi 為i工作的方差。
標準差
網路計畫按規定日期完成的機率,可通過下面的公式和查函式表求得。
式中:
PERTQ為網路計畫規定的完工日期或目標時間; M為關鍵線路上各項工作平均持續時間的總和; σ為關鍵線路的標準差; λ為機率係數。
例題:某項目完成估計需要12個月。在進一步分析後認為最少將花8個月,最糟糕的情況下將花28個月。那么,這個估計的PERT值是(D)個月。
A.9 B.11 C.13 D.14
根據上面的公式解析:
PERT估算的活動歷時均值=(樂觀估計值+4最可能估計值+悲觀估計值)/6
估計該項目完成的時間為(8+4*12+28)/6=14個月
工作步驟
開發一個PERT網路要求管理者確定完成項目所需的所有關鍵活動,按照活動之間的依賴關係排列它們之間的先後次序,以及估計完成每項活動的時間。這些工作可以歸納為5個步驟。
1、確定完成項目必須進行的每一項有意義的活動,完成每項活動都產生事件或結果;
2、確定活動完成的先後次序;
3、繪製活動流程從起點到終點的圖形,明確表示出每項活動及其它活動的關係,用圓圈表示事件,用箭線表示活動,結果得到一幅箭線流程圖,我們稱之為PERT網路;
PERT4、估計和計算每項活動的完成時間;
5、藉助包含活動時間估計的網路圖,管理者能夠制定出包括每項活動開始和結束日期的全部項目的日程計畫。在關鍵路線上沒有鬆弛時間,沿關鍵路線的任何延遲都直接延遲整個項目的完成期限。
作用
1、標識出項目的關鍵路徑,以明確項目活動的重點,便於最佳化對項目活動的資源分配;
2、當管理者想計畫縮短項目完成時間,節省成本時,就要把考慮的重點放在關鍵路徑上;
3、在資源分配發生矛盾時,可適當調動非關鍵路徑上活動的資源去支持關鍵路徑上的活動,以最有效地保證項目的完成進度;
4、採用PERT網路分析法所獲結果的質量很大程度上取決於事先對活動事件的預測,若能對各項活動的先後次序和完成時間都能有較為準確的預測,則通過PERT網路的分析法可大大縮短項目完成的時間。
優缺點
優點 1.是一種有效的事前控制方法。
2.通過對進行時間網路分析可以使各級主管人員熟悉整個工作過程並明確自己負責的項目在整個工作過程中的位置和作用,增強全局觀念和對計畫的接受程度。
3.通過時間網路分析使主管人員更加明確其工作重點,將注意力集中在可能需要採取糾正措施的關鍵問題上,使控制工作更加富有有效。
4.是一種計畫最佳化方法。
缺點
並不適用於所有的計畫和控制項目,其套用領域具有較嚴格的限制。適用PERT法的項目必須同時具備以下條件:
1、事前能夠對項目的工作過程進行較準確的描述;
2、整個工作過程有條件劃分為相對獨立的各個活動;
3、能夠在事前較準確地估計各個活動所需時間、資源。
4、對事件時間的耗用是基於經驗的判斷,但是當事件是首次執行,沒有經驗參考的情況,經過判斷得出的時間顯然是不科學的。
5、即使事件時間的判斷是比較準確的,但是此方法是假設事件時間是基於β分布的,但是現實中是不是真的遵循β分布呢,我們也無從判斷。

