定理簡介
O'Stolz定理
O'Stolz定理
O'Stolz定理
O'Stolz定理
O'Stolz定理
O'Stolz定理
O'Stolz定理
O'Stolz定理
O'Stolz定理( 型) 設數列 、 滿足:① 嚴格單調遞增 ② ③ (其中 可以為有限實數、 、 )
O'Stolz定理則
這個是較常用的版本
O'Stolz定理
O'Stolz定理
O'Stolz定理
O'Stolz定理
O'Stolz定理
O'Stolz定理
O'Stolz定理
O'Stolz定理
O'Stolz定理( 型) 設數列 、 滿足:① 嚴格單調遞減且趨於零 ② ③ (其中 可以為有限實數、 、 )
O'Stolz定理則
證明過程
O'Stolz定理一、 型
O'Stolz定理
O'Stolz定理
O'Stolz定理
O'Stolz定理
O'Stolz定理
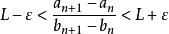
O'Stolz定理(當 為有限實數時)由 , , ,當 時, , 即
O'Stolz定理
O'Stolz定理
O'Stolz定理
O'Stolz定理
O'Stolz定理(這裡可以把 乘到不等號另一邊是因為 嚴格單調遞增,所以 ,乘到不等號另一邊時不變號)
O'Stolz定理
O'Stolz定理
O'Stolz定理
O'Stolz定理
O'Stolz定理又由 ,∴ ,當 時, (這裡是根據數列趨於正無窮大的定義),∴ (注一)
O'Stolz定理
O'Stolz定理
O'Stolz定理
O'Stolz定理
O'Stolz定理
O'Stolz定理取 ,當 時,從 到 對 式累加,有
O'Stolz定理
O'Stolz定理
O'Stolz定理累加得
O'Stolz定理
O'Stolz定理
O'Stolz定理
O'Stolz定理
O'Stolz定理
O'Stolz定理
O'Stolz定理
O'Stolz定理同除 (還是因為 嚴格單調遞增, , , ),還注意到 ,因為 ,
O'Stolz定理
O'Stolz定理
O'Stolz定理
O'Stolz定理
O'Stolz定理
O'Stolz定理
O'Stolz定理
O'Stolz定理
O'Stolz定理
O'Stolz定理
O'Stolz定理
O'Stolz定理
O'Stolz定理
O'Stolz定理
O'Stolz定理
O'Stolz定理
O'Stolz定理
O'Stolz定理
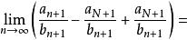
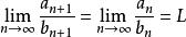
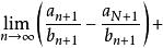
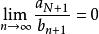
O'Stolz定理即 ,由 ,且 、 是常數,因為 是確定的下標!由極限的四則運算法則, (注二), ,同理 ,再由極限的四則運算法則, , [1]
O'Stolz定理
O'Stolz定理即 ,
__________________________________________________________________________________________
O'Stolz定理
O'Stolz定理為了方便初學者,這裡解釋一下以上的跳步。注意以下的註裡出現的符號與上面證明的符號是分開的!比 如注一的 與證明里的 不同啊,初學者不要搞混。
O'Stolz定理
O'Stolz定理注一:我們可以證明,若 ,則 ,
O'Stolz定理
O'Stolz定理
O'Stolz定理
O'Stolz定理
O'Stolz定理
O'Stolz定理
O'Stolz定理
O'Stolz定理
O'Stolz定理
O'Stolz定理
O'Stolz定理證明:由 , , ,當 時, , ,∴ , ,當 時, ,即
O'Stolz定理
O'Stolz定理
O'Stolz定理注二:由注一, ,可推出 ,相當於去掉了第一項,然而極限是趨於無窮的行為,有沒有這一點對極限毫無影響,後面的 也是如此,當然這一點是可以證明的,這裡略去。可以看[2]的第4題的證明過程。
還有倒數第二段那裡一堆的使用極限四則運算法則,嚴謹性是達到了,為了初學者能正確掌握,但是看起來很繁瑣,其實這段裡面的一些步驟在已經學了數學分析的同學眼裡是已知的,無須寫出來的。所以如果你要在正式場合寫該定理的證明,以上證明中的 "因為 "後面的解釋說明和倒數第二段的繁雜過程可以刪減,按你的意願做相應簡化即可。
一個例子
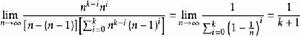
O'Stolz定理例:求極限 (k為正整數)。
O'Stolz定理
O'Stolz定理解:令 ,
由O'Stolz定理
O'Stolz定理
O'Stolz定理
O'Stolz定理= =
O'Stolz定理註:

