定義
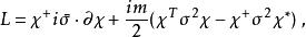
Majorana費米子的拉氏量密度一般可以如下給出 :
Majorana費米子
Majorana費米子其中為一個兩分量的旋量場。上式所誘導出的動力學方程如下:
Majorana費米子一般我們把滿足上述動力學方程的兩分量旋量場成為Majorana費米子場,其所對應的粒子就是Majorana費米子。
性質
Majorana費米子的反粒子就是自身 ,也就是說如果有Majorana型的基本粒子存在,那么自然而然就會破壞輕子數守恆(一般認為不太可能有majorana型的夸克,因為這樣要破壞過多與當今實驗符合很好的對稱性)。
Majorana費米子
Majorana費米子
Majorana費米子
Majorana費米子在標準模型中,所有費米子的質量項都是或者(其中M可以是關於i指標的矩陣,如CKM、PMNS矩陣,意味著質量本徵態與相互作用本徵態不同,有味混合),這是Dirac型費米子質量,從而保證了標準模型中費米子結構以及夸克數、輕子數的守恆。而Majorana的質量項或將破壞費米子數守恆這一規律。
套用
隨著中微子震盪實驗的發現,人們開始認識到標準模型的不足,一般在標準模型中引入右手中微子的話,是有可能來引入右手中微子的Majorana質量項的。學界主流的給出中微子質量的一種蹺蹺板機制(see-saw mechanism)就是通過引入中微子的Majorana質量項從而得到輕的左手中微子和重的右手中微子。一般認為右手中微子是最有理論空間存在Majorana部分的基本粒子,但其Majorana質量項是否存在也一直是中微子領域最大的未解決問題之一 。
近年來,凝聚態方向也在Majorana型費米子方面有很大進展,有實驗已經觀測到了“Majorana費米子”,不過這與基本粒子的意義不同,凝聚態上一般觀測到的是類似聲子的準粒子;與其說是粒子,更像是震動模式。
