執行方式
靜電執行
靜電執行方式是在兩個電極上分別注入電性相反的電荷,利用兩個帶異性電荷電極板之間的吸引力,通過控制電荷數量來控制電極板的相對運動。在MEMS系統中,這種執行方式的具體形式有懸樑式、梳狀電極式、扭轉式等。
靜電撓曲懸臂樑結構如圖1-1所示。
MEMS執行器
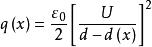
MEMS執行器由工程力學理論可知,寬度為的懸臂樑,在距固定端x處施加集中載荷時,梁末端的偏移量為
MEMS執行器式中,距離梁固定端x處的靜電力q(x)為
MEMS執行器
圖1-2 梳狀靜電執行方式結構原理圖梳狀靜電執行方式使用大量的梳齒,通過在它們之間施加電壓U來驅動,其結構如圖1-2所示。與懸臂樑及扭轉型執行器不同的是,在梳狀執行器中,電容是通過改變面積而不是極板間距來改變的。由於電容與面積是線性關係,位移將與所施加的電壓平方成比例。
靜電執行的優點在於功耗低、回響時間短,宜於完成較高頻率的驅動,而且靜電驅動的結構比較易於實現,所以這方面的套用很多。
壓電執行方式
當某些物質沿某一方向施加壓力或拉力時,會發生極化,此時這種材料的兩個表面將產生符號相反的電荷。這種由於機械力的作用而引起材料表面電荷的效應稱為壓電效應。反之,如果在壓電材料兩端施加一定的電壓,材料會表現出一定的形變(伸長或縮短),這一相反的過程稱為逆壓電效應。
具有壓電效應的電介質稱為壓電材料。在自然界中大多數晶體都具有壓電效應,然而大多數晶體的壓電效應都十分微弱。隨著對壓電材料研究的深入,發現石英晶體、鈦酸鋇、;鋯鈦酸鉛等人造壓電陶瓷是性能優良的壓電材料,見表1-3.
表1-3 壓電材料的相關特性
| 材料 | 類型 | 壓電常數d/(PC/N) | 相對介電常數 |
| 石英 | 單晶體 | d=2.33[2,3] | |
| 聚偏氟乙烯(PVDF) | 聚合體 | d=20 d=2 d=-30[2] d=23[1] d=1.59[3] | 12[1,2] |
| 鈦酸鋇(BaTiO) | 陶瓷製品(鈣鈦礦晶體) | d=78[1,2] d=190[3] | 1700[1,2] 4100[3] |
| 鋯酸鈦酸鉛(PZT) | 陶瓷製品 | d=110[1,2] d=370[3] | 1200[1] 300~3000[3] |
| 氧化鋅(ZnO) | 金屬氧化物 | d=246[4] | 1400[4] |
MEMS執行器
MEMS執行器
MEMS執行器利用壓電材料的逆壓電效應,可以將電能轉換成機械能。施加電壓可以產生相應的力,並引起尺寸變化。一般情況下,要獲得微米量級的位移,常常需要超過1000V的電壓,為了能承受高壓,薄膜必須具有足夠的厚度。
壓電MEMS結構的一個顯著特點是通過適當的結構設計,可以在一個單元上兼有感測器和執行器的雙重功能,同時在具體性能和套用等方面也有較大的區別。但由於壓電微機械需呀採用與原有微電子材料不同的壓電材料,所以在感測器的機械結構設計、材料製備技術、材料加工技術以及工藝兼容性等方面還需要開展大量的研究工作。
熱執行方式
熱執行方式是根據驅動結構在獲得一定熱能時,在熱應力驅動下產生相應的形變,從而完成驅動。從原理上分,熱執行方式可以分為熱膨脹式和熱氣動式兩種。
熱膨脹式通常利用兩種鍵合材料的不同熱膨脹係數構成熱雙晶片執行器,即在兩層“活動”的材料中間夾一個加熱器,加電後兩層材料產生不同的膨脹係數,從而達到目的。
雙金屬執行方式是另一種利用熱膨脹的執行方式。該執行方式構成的執行器加熱時,驅動元件本身的溫度升高,結構內部產生熱應力,導致薄膜產生線性應變,從而達到驅動目的。雙金屬熱致動方式具有驅動電壓低、驅動力大、行程大、線性的位移—能量關係、結構及製造工藝簡單(相對熱氣動等方式而言)、驅動能源易於實現、易於集成等特點,因而套用前景廣泛。
熱氣動式的一種典型方法是形成帶有密封流體(如空氣、水蒸氣和液態水等)的空腔,氣腔中的流體被加熱後就會膨脹,壓力增大,從而推動薄膜運動。常見的有波形管微執行器、活塞執行器等。波形管微執行器帶有一個環形的摺疊狀薄膜結構,當內部受到壓力作用時,波形管發生形變,從而實現驅動。一個膨脹氣體驅動的活塞執行器的運動時沿著襯底所在的平面平行移動。在多晶矽加熱器的作用下形成水蒸氣的氣泡,並在活塞腔內膨脹,將活塞向外推。加熱停止時,活塞腔內的氣泡破裂,於是活塞就返回原來的位置。
MEMS執行器此外,還有一種形狀記憶合金執行方式。形狀記憶合金(SMA)是指受熱時長度能發生很顯著的變化(收縮)的合金。受到機械力作用產生變形的合金,一旦受熱就會恢復到它們變形前的狀態。因為它們是電導性的,所以可以通過電流來加熱。變形使得材料從一種晶向變為另一種晶向,這一過程可以通過加熱來得到反轉。Ti—Ni合金可以產生以上的恢復力和2%的恢復應變,同時它的另一個最大的優點是對人體無毒害作用,非常適合醫療方面的套用。
電磁執行方式
電磁驅動也是一種常見的執行器執行方式。電磁執行器的工作原理是利用電磁感應原理,在磁場的作用下執行機構產生一個機械動作,當微結構的線圈通電後,由於磁場的影響,電子受到洛倫茲力的作用,使線圈產生機械運動,完成電能向機械能的轉換。電磁執行方式的優點是有很高的輸出轉矩,並且既可以吸引也可以排斥。缺點是功耗一般較高,轉矩受線圈匝數的限制,而且產生的磁場會影響附近的物體,例如移動帶電微粒或影響磁數據存儲介質。此外,微機械加工工藝複雜、難度大,與現有的微電子工藝兼容性很差,在微電子機械系統中套用還存在較大問題。
當然,除了以上介紹的四種驅動方式外,還存在其他類型的驅動方式,可以運用到MEMS執行器中,如光碟機動、流體驅動等。
典型的MEMS執行器
微電動機
微電動機是最常用的MEMS執行器,具有微型化、多樣化和集成化等特點。目前常見的有六類微電動機,即靜電微電動機、壓電微電動機、超聲微電動機、電磁微電動機、諧振微電動機和生物微電動機,其中靜電微電動機是研究重點。
圖1-4 第一台靜電微電動機靜電微電動機利用靜電驅動電動機,實現電動機的旋轉。這種電動機結構有一個能自由轉動的中間轉子,四周布以電容極板,以合適的相位驅動,就可以使轉子轉動,獲得相對高的速度。已有相當多的科技工作者在這種結構電動機的建模與設計方面開展研究。
1988年,美國U.C.Bekeley採用表面犧牲層技術研製成功第一台靜電旋轉微電動機,這標誌著MEMS技術的發展進入了新紀元。圖1-4就是第一台採用靜電驅動的旋轉微電動機,該微電動機採用了6個固定電極和8個轉子電極,轉子直徑為120um,厚度為1um,定子與轉子的間隙為2um,在350V三相電壓驅動下,最大轉速達到500r/min。
電磁驅動微開關
圖1-5 Microlab和UIUC研製的電磁微開關樣機電磁力的大小與距離存在非線性,當接近接觸時,電磁力呈指數增加,最終實現穩定的接觸,因此非常適合於驅動開關。同時由於電磁力的產生和磁場的建立之間不存在延遲,因此這種驅動方式能提供較快的開關時間。在電磁驅動微開關方面,Microlab公司和UIUC合作研製的電磁驅動微開關,如圖1-5所示,在約20mA~500mA的激勵電流控制下,能產生10uN~1mN的吸合力,使微電極產生10um~20um的位移,其導通電阻為50mΩ,能夠通過1.2A的電流信號。
除此之外,還有眾多的科研小組利用微小線圈、軟磁體懸臂樑以及永磁體二次鍵合組裝的技術演示了電磁驅動微開關的原型。其中日本的Hiroshi HOSAKA等人製作的8*8陣列開關就是一個典型例子。該開關原型樣機由傳統工藝的小型線圈、微加工工藝的鐵鎳合金軟磁體電極以及永磁體組成,體積為14mm*15mm*25mm,開關時間為0.2ms,導通電阻小於100mΩ。
形狀記憶合金微夾鉗
圖1-6形狀記憶合金微夾鉗Han Zhang等人採用SMA薄板所研製的微夾鉗,如圖1-6所示。該微夾鉗由單片形狀記憶合金(Ni-Ti-Cu)製成,採用雷射退火技術,使主動手指一側(B側)的局部位置具有形狀記憶功能,而其餘部分處於冷加工狀態,不具有形狀記憶功能。局部退火的部分加熱後會發生變形,使一份手指變形,手爪閉合,平行四邊形的彈性結構作為偏置彈簧,冷卻後使手指恢復張開狀態。
圖1-7 形狀記憶合金薄膜矽微夾鉗美國勞倫斯—利弗莫爾國家實驗室(LLNL)研製了採用SMA薄膜驅動的微夾鉗,如圖1-7所示。體矽MEMS加工的矽片經過對準,在選擇的位置上進行共晶耦合,然後在上下兩面通過濺射沉積Ni-Ti-Cu薄膜,並對薄膜進行熱處理,之後切割製成微夾鉗。微夾鉗上下兩面所沉積的Ni-Ti-Cu薄膜在比較低的溫度範圍(30℃~70℃)內可以產生較大的驅動力(500MPa)。該微夾鉗的外形尺寸為0.9mm*0.25mm*0.25mm。薄膜所產生的應力可使夾鉗端部產生55um的變形,整個夾鉗可以張開110um。
