驅動須知
LED在具體的使用時,要注意驅動電路的選用。
LED 驅動電路除了要滿足安全要求外,另外的基本功能應有兩個方面:
根據能量來源的不同,LED驅動電路總體上可分為兩類,一是AC/ DC轉換,能量來自交流電,二是DC/ DC轉換,能量來自乾電池、可充電電池、蓄電池等。
根據LED驅動原理的不同,又可以分為線性驅動電路和開關驅動電路。
電路組成
在需要使用比較多的led產品時,如果將所有的LED串聯,將需要LED驅動器輸出較高的電壓:如果將所有的LED並聯,則需要LED驅動器輸出較大的電流。將所有的LED串聯或並聯,不但限制著LED的嚴使用量,而且並聯LED負載電流較大,驅動器的成本也會增加,解決辦法是採用混聯方式。串、並聯的LED數量平均分配,這樣,分配在一個LED串聯支路上的電壓相同,同一個串聯支路中每個LED上的電流也基本相同,亮度一致,同時通過每個串聯支路的電流也相近。
驅動電路
引言
近年來,高亮度LED照明以高光效、長壽命、高可靠性和無污染等優點正在逐步取代白熾燈、螢光燈等傳統光源。在一些套用中,希望在某些情況下可調節燈光的亮度,以便進一步節能和提供舒適的照明。常見的調光有雙向可控矽調光、後沿調光、ON/OFF調光、遙控調光等。可控矽調光器在傳統的白熾燈等調光照明套用已久,且不用改變接線,裝置成本較低,各品牌可控矽調光器的性能和規格相差不大,但是其直接套用在LED驅動場合還存在著一系列問題。
調光原理
市面上大多數可控矽調光器基本結構如圖1所示,其工作原理如下:當交流電壓加雙向可控矽TRIAC兩端時,由於Rt、Ct組成的RC充電電路有一個充電時間,電容上的電壓是從0V開始充電的,並且TRIAC的驅動極串聯有一個DIAC(雙向觸發二極體,一般是30V左右),因此TRIAC可靠截止。當Ct上的電壓上升到30V時,DIAC觸發導通,TRIAC可靠導通,此時TRIAC兩端的電壓瞬間變為零,Ct通過Rt迅速放電,當Ct電壓跌落到30V以下時,DIAC截止,如果TRIAC通過的電流大於其維持電流則繼續導通,如果低於其維持電流將會截止。電感L和電容C的作用是減小電流和電壓的變化率,以抑制電磁干擾EMI問題。
led驅動電路可控矽前沿調光器若直接用於控制普通的LED驅動器,LED燈會產生閃爍,更不能實現寬範圍的調光控制。原因歸結如下:
(1)可控矽的維持電流問題。目前市面上的可控矽調光器功率等級不同,維持電流一般是7~75mA(驅動電流則是7~100mA),導通後流過可控矽的電流必須要大於這個值才能繼續導通,否則會自行關斷。
(2)阻抗匹配問題。當可控矽導通後,可控矽和驅動電路的阻抗都發生變化,且驅動電路由於有差模濾波電容的存在,呈容性阻抗,與可控矽調光器存在阻抗匹配的問題,因此在設計電路時一般需要使用較小的差模濾波電容。
(3)衝擊電流問題。由於可控矽前沿斬波使得輸入電壓可能一直處於峰值附近,輸入濾波電容將承受大的衝擊電流,同時還可能使得可控矽意外截止,導致可控矽不斷重啟,所以一般需要在驅動器輸入端串接電阻來減小衝擊。
(4)導通角較小時LED會出現閃爍。當可控矽導通角較小時,由於此時輸入電壓和電流均較小,導致維持電流不夠或者晶片供電Vcc不夠,電路停止工作,使LED產生閃爍。
可控電源
線性調光存在的問題,即人眼在低亮度情況下對光線的細微變化很敏感;而在較亮時,由於人眼視覺的飽和,光線較大的變化卻不易被察覺。並提出了利用單片機編程來實現調光信號和調光輸出的非線性關係(如指數、平方等關係)的方法,使得人眼感覺的調光是一個線性平穩過程。
文中設計的電路利用RC充放電電路來實現這一功能。
圖2是一種利用普通的脈寬調製PWM晶片結合外圍電路來搭建可控矽調光的LED驅動電路框圖。維持電流補償電路通過檢測R1端電壓(即輸入電流)來控制流過維持電流補償電路的電流。當輸入電流較小時,維持電流補償電路上流過較大的電流;當輸入電流較大時,維持電流補償電路關斷,維持電流補償以恆流源的形式保證可控矽的維持電流。調光控制電路包括比較器、RC充放電電路和增益電路。實驗中選用一款旋鈕行程和斬波角成正比的可控矽調光器,其最小導通角約為30°。
led驅動電路根據圖2中,RC充放電電路的輸出經過增益電路後可得電流參考為:
led驅動電路式中k為增益,VC為RC充放電電路的輸入電壓,τ為RC的時間係數,θ為可控矽的導通角。
則在最小導通角對應的輸出為零,即電路輸出的最大值對應電流參考的最大值:
led驅動電路從式(1)和式(2)可得輸出電流表達式如式(3)所示,輸出電流在不同RC時間係數下隨可控矽導通角之間的關係如圖3a)所示。
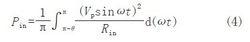
led驅動電路在斬波角為θ時,電路對應的輸入功率為:
led驅動電路式中Vp為輸入電壓峰值,Rin為等效輸入阻抗。
假設電路的變換效率為η,且電路的輸出功率為PO=IO·UO,則可得到電路的等效輸入阻抗如式(5)所示。
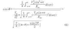
led驅動電路從式(5)可得電路的功率因數如式(6)所示,功率因數隨可控矽的導通角的關係如圖3b)所示。
led驅動電路實驗及結果
根據以上分析,本文設計一台基於反激變換器的可控矽調光LED驅動器,控制晶片為NCP1607;輸入交流電壓220V,最大輸出功率為25W,最大輸出電流為0.7A;以3串(每串10隻0.8W的LED燈)相併聯作為負載;RC時間係數選擇0.5,增益為0.2。電路的實驗波形和工作特性曲線如圖4所示。
led驅動電路
led驅動電路
led驅動電路圖4a)、b)、c)為可控矽導通角為115°時阻抗匹配開關驅動電壓VZ、輸入電流Iin、輸入電壓Vin的波形,電路的輸出電流為470mA,功率因數為0.78。從圖中可看出,當可控矽導通瞬間,由於驅動器輸入端有差模濾波電容導致輸入電流有衝擊電流尖峰,而當輸入電流小於一定值時,阻抗匹配開關開通以保證流過可控矽的電流大於其維持電流。
圖4d)為可控矽不同導通角對應的輸出電流曲線,實際調試中可控矽導通角在150°之後就接近滿載輸出了。圖4e)為可控矽在不同導通角下對應電路的cosφ曲線。
結語
本文分析了現有可控矽調光器用於LED驅動時存在的問題,並根據人眼對光線反應非線性的特點,設計了一種利用普通PWM晶片結合外圍電路搭建的可控矽非線性調光LED驅動電路,分析了電路在調光過程中的工作特性,實驗結果實現0~100%平穩無閃爍調光。
